Студопедия

Главная страница Случайная страница

КАТЕГОРИИ:

АвтомобилиАстрономияБиологияГеографияДом и садДругие языкиДругоеИнформатикаИсторияКультураЛитератураЛогикаМатематикаМедицинаМеталлургияМеханикаОбразованиеОхрана трудаПедагогикаПолитикаПравоПсихологияРелигияРиторикаСоциологияСпортСтроительствоТехнологияТуризмФизикаФилософияФинансыХимияЧерчениеЭкологияЭкономикаЭлектроника






Варiант 19






І частина (5 балів)

Завдання 1 – 5 мають по чотири варіанти відповіді, з яких тільки одна правильна. Оберіть правильну, на Вашу думку, відповідь. Правильне розв’язання кожного завдання оцінюється одним балом.

1. Найменше спільне кратне чисел 8 і 12 дорівнює:

А) 96; Б) 48; В) 4; Г) 24.

 

2. Із 40 штрафних кидків, виконаних баскетбольною командою, було 36 влучень. Обчисліть відсоток влучень команди.

А) 90%; Б) 4%; В) 100%; Г) 20%.

 

3. З 12 кг пластмаси виготовили 32 однакові трубки, Скільки вийде таких труб з 6 кг пластмаси?

А) 64; Б) 16; В) 8; Г) 24.

 

4. Яка нерівність правильна?

А) – 5, 6 < – 6, 6; Б) – 0, 15 > 0, 12; В) – 3, 27 < – 1, 8; Г) 0 < – 17, 54.

 

 

5. Яка з позначених на координатній площині точок А, В, С, D

має координати (2; 0)?

 

А) т. В; Б) т. А;

В) т. С; Г) т. D.

 

ІІ частина (4 бали)

Розв’язання завдань 6 – 7 може мати короткий запис без обґрунтування. Правильне розв’язання кожного завдання оцінюється двома балами.

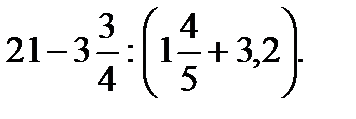
6. Виконайте дії

 

7. Порівняйте значення виразів і .

 

ІІІ частина (3 бали)

Розв’язання 8 завдання повинно мати обґрунтування. Потрібно записати послідовні логічні дії та пояснення. Правильне розв’язання кожного завдання оцінюється трьома балами.

8. На станції стояло два товарних состави. Кількість вагонів першого із них у 1, 5 разів менша від кількості вагонів другого состава. Від першого состава відчепили 5 вагонів і причепили їх до другого. Тепер у другому составі стало вагонів у 2 рази більше, ніж у першому. Скільки вагонів було в кожному составі?



Поделиться с друзьями:

mylektsii.su - Мои Лекции - 2015-2026 год. (1.959 сек.)Все материалы представленные на сайте исключительно с целью ознакомления читателями и не преследуют коммерческих целей или нарушение авторских прав Пожаловаться на материал