Студопедия

Главная страница Случайная страница

КАТЕГОРИИ:

АвтомобилиАстрономияБиологияГеографияДом и садДругие языкиДругоеИнформатикаИсторияКультураЛитератураЛогикаМатематикаМедицинаМеталлургияМеханикаОбразованиеОхрана трудаПедагогикаПолитикаПравоПсихологияРелигияРиторикаСоциологияСпортСтроительствоТехнологияТуризмФизикаФилософияФинансыХимияЧерчениеЭкологияЭкономикаЭлектроника






Схемы замещения двухобмоточиого трансформатора






Приведение вторичной обмотки к первичной. Первичные и вто­ричные токи, напряжения и другие величины имеют одинаковый порядок, ейли у первичной и вторичной обмоток число витков оди­наково. Рассмотрим поэтому вместо реального трансформатора эквивалентный ему так называемый приведенный трансформатор, первичные и вторичные обмотки которого имеют одинаковое число витков.

Представим себе, что реальная вторичная обмотка трансформа­тора с числом витков щ заменена воображаемой, или приведенной, обмоткой с числом витков = щ. При этом число витков вторичной обмотки изменится в

В результате такой замены, или приведения, э. д, с. Е', и напря­жение Щ приведенной обмотки также изменяются в к раз по сравне­нию с величинами и II., реальной вуоричной обмотки:

Чтобы мощности приведенной и реальной обмоток при всех режимах работы были равны, необходимо соблюдать равенство

где /-2 — приведенный вторичный ток. Отсюда равенства (14-21) следует, что

Намагничивающие силы приведенной и реальной обмоток на основании выражений (14-20) и (14-22) равны:

Для того чтобы электромагнитные процессы в реальном и при­веденном трансформаторах протекали одинаково, приведенная и реальная вторичные обмотай должны создавать одинаковые магнит­ные поля. Для этого, кроме соблюдения условия (14-23), необхо­димо, чтобы приведенная вторичная обмотка имела те же геометри­ческие размеры и конфигурацию и была расположена в окне магни­топровода трансформатора так же, как и реальная вторичная об­мотка (см. например, рис. 12-2, 12-26). Поэтому суммарное сечение всех витков приведенной обмотки должно быть таким же, как и у ' реальной обмотки, а сечение каждого витка приведенной обмотки должно уменьшиться в к раз. Но поскольку приведенная обмотка имеет в к раз больше витков, то в итоге активное сопротивление при­веденной-обмотки в к2 раз больше, чем реальной:

Так как при одинаковых геометрических размерах и одинаковом расположении катушек нх индуктивности и индуктивные сопротив­ления пропорциональны квадратам чисел витков, то между индук­тивными сопротивлениями приведенной обмотки х'2 и реальной х2 существует такое же соотношение:

Очевидно, что потери в приведенной и реальной обмотках оди­наковы:

Одинаковы также относительные падения напряжения во вто­ричных обмотках приведенного и реального трансформаторов:

Таким образом, все энергетические и электромагнитные соот­ношения в приведенном и реальном трансформаторах одинаковы, что и позволяет производить-указанное приведение.

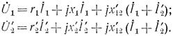
Схема замещения без учета магнитных потерь. В соответствии с изложенным сделаем в уравнениях напряжения трансформатора (14-14) подстановки:

 

 

что в математическом отношении соответствует переходу от исходных реальных переменных 0.г, /2 к новым (приведенным) переменным Умножив при этом второе из уравнений (14-14) на к, получим

При переходе к электрической связи двух цепей в соответствую­щей схеме замещения должна появиться общая для. обеих цепей ветвь, которая обтекается суммой токов обеих цепей 1г +! '<.. Соот­ветственно этому в уравнениях напряжений этих цепей должны появиться одинаковые члены с множителями (Г1 + /0, Из урав­нений (14-27) видно, что для получения в них таких членов нужно прибавить к первому из этих уравнений и вычесть из негр член 7^1зЛ и прибавить ко второму и вычесть из него член ]кхп1'%. При этом получим

 

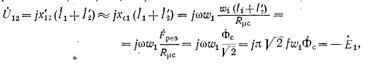
Введем следующие наименования и обозначения: 1) приведенное активное сопротивление вторичной обмотки

 

совпадающее с выражением (14-24);

2) приведенное взаимное индуктивное сопротивление

3) индуктивное сопротивление рассеяния первичной обмотки

4) приведенное индуктивное сопротивление рассеяния вторичной обмотки

представляет собой непрнведеипое индуктивное сопротивление рас­сеяния вторичной обмотки.

Введя перечисленные приведенные величины в уравнения (14-28), получим уравнения напряжения приведенного трансформатора:

 

Уравнениям (14-34), как нетрудно видеть, соответствует схема замещения рис. 14-3, а. Действительно, мысленно обойдя левый и правый контуры схемы рис. 14-3, а и составив уравнения напря­жения для этих контуров, вновь получим уравнения (14-34). Таким образом, схема рис. 14-3, а представляет собой схему замещения трансформатора, соответствующую уравнениям (14-14) и (14-34).

Аналогичным образом можно также преобразовать уравнения напряжения в дифференциальной форме (14-13), произведя в них подстановки

 

 

При этом получается схема замещения рис. 14-3, б, где

представляют собой индуктивности рассеяния первичной и вторич­ной обмоток, а

 

— приведенную взаимную индуктивность.,

Схема замещения рис. 14-3, б действительна при любых законо­мерностях изменения напряжения и токов во времени, в том числе и в случае переходных процессов.

Уравнения (14-34) и схемы за­мещения рис. 14-3 можно тракто­вать таким образом, что сопротив­ления г1 и. хи Га и х 'ч или индук­тивности 53 и 5з включены в цепи обмоток до и после трансформа­тора, а параметры обмоток транс­форматора уменьшены на значения этих величин. В результате полу­чается идеальный трансформатор, активные сопротивления которо­го равны нулю, а коэффициент электромагнитной связи с = 1. Дей­ствительно, у такого идеального трансформатора приведенные соб­ственные и взаимные индуктивные

сопротивления одинаковы и равных^ = кхш и поэтому в соответст­вии с равенствами (14-12) и (14-19) с2 — 1 и а — 0.

Отметим, что, как следует из рассмотрения приведенных преоб­разований, соотношения (14-26) и все последующие, а также схемы замещения рис. 14-3 справедливы и правильно отражают все про­цессы в трансформаторе при любом значении к. С математической выражениями

 

 

 

т. е. равно по значению и обратно по знаку э. д. с. Ёъ которая ин­дуктируется в первичной обмотке результирующим потоком магни­топровода, или основным потоком трансформатора, и отстает от него на 90°.

Индуктивность рассеяния первичной обмотки, согласно выра­жениям (14-9), (14-10) и (14-36),

Но на основании уравнений (14-4) и (14-6)

Поэтому

Аналогично, согласно выражениям (14-9), (14-10) и (14-37)

Но на основании уравнений (14-5) и (14-6) т мс

и поэтому

Таким образом, индуктивности рассеяния 5Ь 5а и н индук­тивные сопротивления рассеяния

при к ='щ]щ определяются магнитными потоками, замыкающи­мися главным образом по воздуху.

Однако вторыми членами равенств (14-42) и (14-43) по сравнению с первыми пренебречь нельзя, и поэтому потоки, замыкающиеся по воздуху, можно назвать потоками рассеяния лишь условно.

Упрощенная схема замещения. Так как 2Х та то во мно­гих случаях можно положить = оо, что означает разрыв намаг­ничивающей цепи схемы замещения рис. 14-5. При 1М = оо будет /м = 0, т. е. такое предположение эквивалентно пренебрежению намагничивающим током или током холостого хода, что ввиду ма­лости /,, во многих случаях допустимо. При этом Д — —= /.

При 7.н —■ оо и /„ — 0 схема замещения принимает вид, изобра­женный на рис. 14-6. Параметры этой схемы

называются соответственно полным, активным и индуктивным со­противлениями короткого " замыкания (см. также § 14-5). Такие названия обу­словлены тем, что замыкание вторичных зажимов трансформатора накоротко со­ответствует замыканию накоротко вто­ричных (правых) зажимов схемы замеще­ния рис. 14-6 и при этом сопротивление трансформатора при коротком замыка­нии будет равным 2К.

Схема замещения рис. 14-6 чрезвычайно проста. Согласно этой схеме, трансформатор эквивалентен сопротивлению 2К. Обычно в силовых трансформаторах гм = 0, 05 -г- 0, 15.


Поделиться с друзьями:

mylektsii.su - Мои Лекции - 2015-2026 год. (0.598 сек.)Все материалы представленные на сайте исключительно с целью ознакомления читателями и не преследуют коммерческих целей или нарушение авторских прав Пожаловаться на материал