Студопедия

Главная страница Случайная страница

КАТЕГОРИИ:

АвтомобилиАстрономияБиологияГеографияДом и садДругие языкиДругоеИнформатикаИсторияКультураЛитератураЛогикаМатематикаМедицинаМеталлургияМеханикаОбразованиеОхрана трудаПедагогикаПолитикаПравоПсихологияРелигияРиторикаСоциологияСпортСтроительствоТехнологияТуризмФизикаФилософияФинансыХимияЧерчениеЭкологияЭкономикаЭлектроника






ТОҚЫМА МАТЕРИАЛДАР АҚАУЛАРЫН БАҚЫЛАУ






Тоқ ыма жә не ө ң деу ө ндірісінде ең бек ө німділігін арттыру жә не ө нім сапасын жақ сарту мә селелерін шешу кезінде ағ артылмағ ан жә не дайын маталарды тұ тас қ арап шығ у, сұ рыптау жә не ақ аулы ө німдерді іріктеп тастау проблемасымен байланысты кө п ең бекті қ ажет ететін операцияларды механизациялау мен автоматтандыруғ а ерекше кө ң іл бө лінеді. Ақ аулы ө німдерді іріктеп алу ү стелдерінен келіп тү сетін ақ парат ауқ ымды жә не алуан тү рлі болып табылады. Ол ө німді ә ртү рлі ө ндіру кезең дерінде жоспарлаумен, есептеумен, сапалық, сандық талдаумен айналысатын кә сіпорынның ө ндірістік бө лімдеріне қ ажетті негізгі материал береді. Мұ ндай жағ дайларда маталардың ақ аулы жерлерін автоматты тү рде іріктеп алу жү йелері технологиялық процестерді автоматтандырылғ ан басқ ару жү йелерінің негізгі бө лігі болып табылады. Маталардың ақ ауларын бақ ылау жә не ақ аулы жерлерін іріктеп алуда қ олданылатын қ ұ рылғ ыларды қ арастырайық.

Мата қ ұ рылымының ақ ауларын бақ ылауғ а арналғ ан қ ұ рылғ ы мата сканерлеу қ ұ рылғ ысының кө мегімен қ озғ алғ ан кезде оның қ ұ рылымының ақ ауларын автоматты тү рде белгілеп алуғ а мү мкіндік беретін электронды-оптикалық тетік болып табылады. Жіптің тү сінің, тығ ыздығ ының жә не қ ұ рамының ө лшеу сапасына ә серін азайту мақ сатымен бақ ылау ең жақ ын инфрақ ызыл диапазон аймағ ында жү ргізіледі.

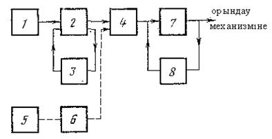
Мата ақ ауларын бақ ылауғ а арналғ ан қ ұ рылғ ы былай жұ мыс жасайды. Тіреу генераторы 1 инфрақ ызыл жарық диодтың сә улелену кө зін (3) қ уаттандыратын модулятордың 2 жұ мысын басқ арады. Бақ ыланатын кенеп 4 сә улелену кө зі 3 мен кү шейту коэффициенті реттелетін кү шейткіштің кірісіне 7 қ осылғ ан фотоқ абылдағ ыш б – фотодиоды бар талшық ты-оптикалық ө ң дегіштің 5 арасынан ө теді. Кү шейткіштен сигнал 7 шығ ысында сү згіш 9 орнатылғ ан синхронды детекторғ а 8 беріледі. Кү йшейткіштің 7 ө ткізу сызығ ы кең жә не кү шейтудің автоматты реттеу тізбегімен қ атылғ ан. Бұ л тығ ыздығ ы ә ртү рлі кенепті бақ ылауғ а мү мкіндік береді.

11.1 сурет. Мата ақ ауларын бақ ылауғ а арналғ ан қ ұ рылғ ының блок-сұ лбасы

 

Электронды-оптикалық тетіктің шығ сында ұ зақ тығ ы ақ аулардың ө лшемлерімен анық талатын тік тө ртбұ рышты импульстарды қ алыптастыратын іске қ осылу шегі реттелетін ІІ шекті қ ұ рылғ ы орнатылғ ан. Шығ у сигналдарын селекторларғ а жә не дешифраторларғ а қ осу кезінде матаның ақ аулы жерлерін тікелей технологиялық қ ұ рал-жабдық та іріктеп алу мү мкін.

Ө ң деу кезінде пайда болатын мата ақ ауларының біріне кө лденең жіптердің қ исаюы, яғ ни олардың арқ ау жіптеріне қ атысты перпендикулярлы орналаспауы жатады. Кө птеген маталар ү шін кө лденең жіптің қ исаюының рұ қ сат етілген мә ні +2-3 қ ұ райды. Бұ л мә ннен асып кеткен жағ дайда қ исық тық ты тү зету қ ажет. Іс жү зінде кө лденең жіптің қ исаюының алуан тү рлері кездеседі, жә не қ исық тық тың формасын қ озғ алып жатқ ан матаның ені бойынша орналасқ ан кө лденең тетіктерінің кө мегімен анық тауғ а болады. Матаның тығ ыздығ ы мен қ ұ рылымына қ арай қ азіргі кезде кө лденең жіптің қ исаюының ә р тү рлі тетіктерін қ олданады.

Кө лденең жіптің қ исаюының механикалық тетіктері ү стің гі беті кедір-бұ дырлы ауыр маталарды бақ ылау кезінде қ анағ аттанарлық нә тиже береді. Бұ л кө лденең жіптердің арқ ау жіптерге қ атысты орналасуына байланысты иілгіш кү штердің матаның бетімен тү йісетін қ уыс қ ұ лақ тарғ а немесе роликтерге ү йлесуін белгілеп алып, сосын олардың электр сигналына жылжуын ө ң деуге мү мкіндік береді.

Кө лденең қ исаюының фотоэлектронды тетіктері бір-бірімен арасынан кенеп ө тетін қ озғ алмайтын немесе айналатын саң ылау арқ ылы оптикалық жолмен жалғ анғ ан сә улелену кө зі мен оны қ абылдағ ышынан қ ұ ралады. Бұ л тетіктерде негізінен кез-келген тығ ыздық тағ ы матаны бақ ылауғ а мү мкіндік беретін инфрақ ызыл сә улелену кө здері қ олданылады.

Кө лденең ді тү зетуге арналғ ан қ ұ рылғ ыда оптикалық тетік ө ң деген сигнал фотоқ абылдағ ыштан кү шейткіштің кірісіне беріледі (11.2). Мата қ озғ алғ ан кезде кө лденең жіптер тетіктік тізбегі арқ ылы ө тетін жарық ағ ымын қ иып ө теді, соның нә тижесінде фотоқ абылдағ ыштан келген сигнал ампилитуда бойынша модельденген болып шығ ады.

11.2 сурет. Кө лденең жіптің ауытқ уын тү зетуге жә не бақ ылауғ а арналғ ан қ ұ рылғ ының блок-схемасы.

 

Кү шейткіштің 2 жарық ағ ымының модуляциялану жиілігі бойынша таң дамалы сипаттамасы бө геуілдерді азайтуғ а арналғ ан. Оптикалық тетіктен 1 келіп тү сетін сигналдың қ арқ ындылығ ы матаның тығ ыздығ ына байланысты болғ андық тан, кү шейтілген сигналдың ауыспалы қ ұ рамдауышының тұ рақ ты амплитудасын ұ стап тұ ру ү шін кү шейткіштің шығ а берісінде 2 3 кү шейткішті автоматты реттеу тізбегі орнатылғ ан. Кү шейткіштің шығ а берісінен 2 шық қ ан сигнал салыстыру блогінің 4 кіре берісіне келіп жеткен соң, ол жерде кө лденең нің қ исаюына немесе оның арқ ауғ а қ атысты қ алыпты орналасуына сә йкес келетін сигнал танылады. Кө лденең нің қ исайғ ан жері табылғ ан жағ дайда салыстыру блогінан 4 сигнал ү йректі тү зету қ ұ рылғ ысының ақ тару механимздерінің жұ мысын басқ аратын триггерлік сұ лба болып табылатын реттеу блогіна 7 беріледі.

Атқ ару механизмдері (жү ргізу аппаратурасы, реверсивті электр қ озғ алтқ ыштар жә не т.б.) инерциялық болып табылатындық тан, жү йенің автотербелістеріне жол бермеу ү шін реттеу блогі 7, 8 теріс кері байланыспен қ амтылғ ан. Соның салдарынан ол кө лденең дұ рыс қ алыпқ а келгеннен бұ рын сө ндіріледі. Реттеу жү йелерінің инрециялылығ ының себебінен кө лденең қ алыпты кү йге жетпей қ алса, кері байланыс 8 буыны уақ ытының тұ рақ ты шамасына тең уақ ыттан кейін 7 реттеу блогі қ айта қ осылады.

Кө лденең нің қ исық тығ ын бақ ылау ү шін механикалық тетіктер 5 қ олданылғ ан жағ дайда оларды жеке кү шейткіш 6 арқ ылы салыстыру блогінің 4 кіре берісіне қ осады (сұ лбада пунктирлі сызық пен кө рсетілген). Бұ л жағ дайда кейінгі блоктардың жұ мысы жоғ арыда айтылғ анғ а ұ қ сас жү зеге асырылады.

Матаның сорттылық кө рсеткіштерінің бірі сырт кө рініс ақ ауларының бар болуы болып табылады (ластанғ андық, рең ксіздігі, ү йректің бойындағ ы сызық тар жә не т.б.), ал матаның сорты барлық кө рсеткіштер бойынша ауытқ уларды бағ алау баллдарының жалпы қ осындысымен анық талады. Сондық тан бірінші жуық тық та матаның ақ аулы жерлерін іріктеп алу мә селесін есептеу блогін тү ймелік басқ ару пульты бар ақ парат жинауғ а арналғ ан жартылай автоматты қ ұ рылғ ыны жә не паспортты қ алыптастыру қ ұ рылғ ысын, мысалы ақ аулық жартылай автоматты қ олдану арқ ылы шешуге болады.

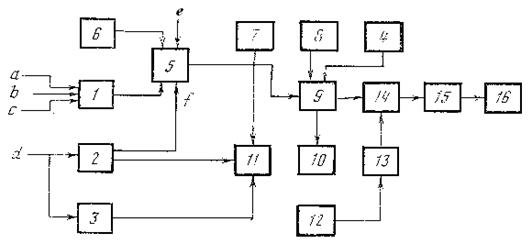
Матаның ақ аулы жерлерін іріктеп алу процесін жартылай автоматтандыруғ а мү мкіндік беретін ақ аулық жартылай автомат былай жұ мыс жасайды (11.3 сурет). Кнопкалы пульттан ақ парат енгізу қ ұ рылғ ысына 1 b типті бө ліктің баллдылығ ы жә не ақ аулардың себептері (айыптылары) туралы с мә лімет келіп жетеді. Матаның ө рескел ақ аулары бар болғ ан жағ дайда кнопкалы пульттан 2 немесе 3 қ ұ рылғ ығ а d сә йкесінше матаның қ иылғ ан немесе қ иып алынғ ан жерлері туралы мә ліметтер келіп тү седі. Содан кейін пульттан бө лік ақ ауларының баллдығ ы, f қ иық тар саны жә не олардың ені туралы келіп тү скен мә ліметтер матаның ұ зындығ ы ү здіксіз ө згеріп тұ рғ ан жағ дайда сұ рыптылық кө рсеткішін ү здіксіз есептеп отыратын есептеу қ ұ рылғ ысының талдағ ыш блогіна 5 енгізіледі (б метраж есептегіш). Сонымен бір уақ ытта қ иық пен сұ рыптық матаның метражын есептеуді 7 жә не 8 есептегіштер жү зеге асырады. 9 блоктің функционалдық міндеті – а бө лігінің ақ ауларының салмақ тық

11.3 сурет. Ақ аулық жартылай автоматының қ ұ рылымдық схемасы

 

сипаттамасын жә не ақ аудың координаталарын талдау болып табылады (8 есептегіштен алынғ ан ағ ымдағ ы метраж бен 4 блоктан матаның резерві туралы мә ліметтер).

9 талдағ ыш блоктың шығ а берісінде матаны ү немдеп қ ию мә селесін шешу бағ дарламасы жасалады. 10 жарық таблосы матаның сұ рыптылығ ын кө збен шолуғ а арналғ ан. 11 блоктың жұ мысы 5 блоктың жұ мысына ұ қ сас болса да, бір айырмашылығ ы – 7 есептегітен d ақ аулардың баллдығ ы жә не қ иық тың метражы туралы енгізілетін мә ліметтер бойынша қ иық тың сұ рыпы талданады. 12 тү йін бө ліктегі қ иманың ұ зындығ ын бақ ылайды, ал 13 блок бө лік пен қ иық туралы ақ парат жадысының блогі болып табылады. Мә ліметтерді 14 перфоратор, 15 затбелгіні басып шығ ару қ ұ рылғ ысы жә не таң ба салу 16 қ ұ рылғ ысы жазып алады.

Сө йтіп, енгізілуі тиіс ақ параттың кө леміне сү йенсек, ақ аулық жартылай автоматты басқ ару пультындағ ы операциялар мынадай болып табылады:

а) талдау қ ұ рылғ ысына бө ліктің сұ рыпты бө лшегінің сұ рыптылығ ын анық тауғ а арналғ ан К тү зетушілік есептеу коэффициентін енгізу;

б) қ ұ рылғ ығ а тиісті кнопкалардың кө мегімен ақ аудың баллдылық типі, қ иық тың тү рі, оның метражы жә не т.б. туралы ақ парат енгізу, бұ ны жұ мыскер кө збен шолып бағ алайды;

в) мә ліметтерді енгізу жә не заттаң бағ а, перфолентағ а жә не паспортқ а басып шығ ару ү шін ақ аулы жерлерін іріктеп алу нә тижелері туралы ақ паратты оқ у.


Поделиться с друзьями:

mylektsii.su - Мои Лекции - 2015-2026 год. (0.751 сек.)Все материалы представленные на сайте исключительно с целью ознакомления читателями и не преследуют коммерческих целей или нарушение авторских прав Пожаловаться на материал