Студопедия

Главная страница Случайная страница

КАТЕГОРИИ:

АвтомобилиАстрономияБиологияГеографияДом и садДругие языкиДругоеИнформатикаИсторияКультураЛитератураЛогикаМатематикаМедицинаМеталлургияМеханикаОбразованиеОхрана трудаПедагогикаПолитикаПравоПсихологияРелигияРиторикаСоциологияСпортСтроительствоТехнологияТуризмФизикаФилософияФинансыХимияЧерчениеЭкологияЭкономикаЭлектроника






Тема 5. Кинетическая энергия и работа вращательного движения Уравнение динамики вращательного движения твердого тела






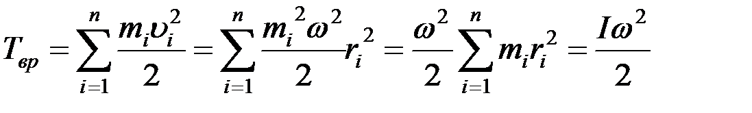
При вращении твердого тела относительно неподвижной оси отдельные его точки, находящиеся на различном расстоянии от оси вращения, имеют различные скорости . Поэтому для того, чтобы найти кинетическую энергию вращательного движения твердого тела, необходимо разбить это тело на элементарные объемы так, чтобы каждый элементарный объем можн о было рассматривать как материальную точку массой , находящуюся на определённом расстоянии от данной оси вращения. Тогда кинетическая энергия вращательного движения твердого тела равна суммекинетических энергий всех n материальных точек массами , на которые разбито это тело: .

Так как для твердого тела угловая скорость вращения всех материальных точек, на которые разбито это тело, одинакова, то

,

где момент инерции тела относительно его осивращения.

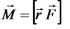
Момент силы. Если на тело, имеющее ось вращения ОО ′, действует сила , причем вектор силы расположен в плоскости, перпендикулярной оси ОО ′ (рис. 5), то моментом этой силы относительно неподвижной оси ОО ′ называется величина, равная произведению модуля силы на плечо l этой силы относительно оси ОО ′: ,

где l – плечо силы , то есть кратчайшее расстояние между осью ОО ′ илинией действия силы .

(Момент силы относительно оси вращения ОО ′ является векторной величиной, определяется векторным произведением векторов и (рис. 5): , направлен вдоль оси вращения ОО ′ в соответствии с правилом правого винта, а модуль вектора определяется в виде ).

Рис. 5

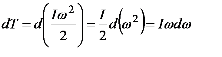
Работа при вращении твердого тела. При повороте тела на бесконечно малый угол вокруг оси OO′ под действием силы совершается элементарная работа: ,

где момент силы относительно оси OO′.

Уравнение динамики вращательного движения твердого тела. Уравнение динамики вращательного движения твердого тела может быть получено, исходя из того, что элементарная работа при вращении твердого тела идет на элементарное увеличение его кинетической энергии, то есть:

dA=dT.

Так как , а , то

или .

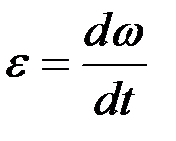
Учитывая, что , а ,

получим:

или в векторном виде: .

В приведенной формуле: – вектор углового ускорения;

– вектор момента силы, действующей на тело, относительно его оси вращения; I – момент инерции тела относительно его оси вращения.

В том случае, если на тело, имеющее ось вращения, действует не одна, а несколько сил, то приведенный в этой формуле момент силы является результирующим моментом всех действующих на это тело сил и определяется векторной суммой всех моментов действующих сил относительно оси вращения данного тела.

Это уравнение есть уравнение динамики вращательного движения твердого тела: если на тело, имеющее ось вращения, действуют силы, то это тело приобретает угловое ускорение, прямо пропорциональное векторной сумме моментов всех действующих сил и обратно пропорциональное моменту инерции тела относительно его оси вращения.


Поделиться с друзьями:

mylektsii.su - Мои Лекции - 2015-2026 год. (1.267 сек.)Все материалы представленные на сайте исключительно с целью ознакомления читателями и не преследуют коммерческих целей или нарушение авторских прав Пожаловаться на материал