Студопедия

Главная страница Случайная страница

КАТЕГОРИИ:

АвтомобилиАстрономияБиологияГеографияДом и садДругие языкиДругоеИнформатикаИсторияКультураЛитератураЛогикаМатематикаМедицинаМеталлургияМеханикаОбразованиеОхрана трудаПедагогикаПолитикаПравоПсихологияРелигияРиторикаСоциологияСпортСтроительствоТехнологияТуризмФизикаФилософияФинансыХимияЧерчениеЭкологияЭкономикаЭлектроника






Тема 8. Гармонические колебания физического маятника






Физический маятник – это твердое тело, имеющее ось вращения и совершающее колебания под действием тангенциальной составляющей силы тяжести Ft (Ft = mg sin a (рис. 7), где a – отклонение физического маятника от положения равновесия).

l

 

 

Рис. 7

Если физический маятник массой m отклонен от положения равновесия на некоторый угол a, то момент M возвращающей силы Ft:

,

где l – плечо силы Ft, то естьрасстояние от центра масс (точка С) до оси маятника (рис. 7).

В случае малых колебаний физического маятника, то есть для малых углов отклонения маятника от положения равновесия sin a» a и тогда

.

По второму закону Ньютона для вращательного движения твердого тела:

или ,

где I — момент инерции маятника относительно его оси.

Знак минус в последнем уравнении обусловлен тем, что вектора момента возвращающей силы и угла поворота имеют противоположные направления.

Обозначив , получим дифференциальное уравнение свободных незатухающих гармонических колебаний физического маятника:

.

Решением этого дифференциального уравнения является функция :

,

где отклонение физического маятника от положения равновесия в момент времени t;

амплитудаколебаний;

w 0 круговая (циклическая) частота;

(w 0 t + j0) – фаза колебаний в момент времени t;

j 0 начальная фаза колебаний.

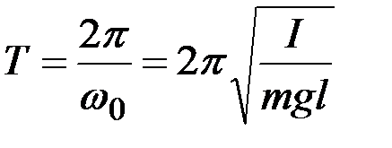
Период малых гармонических колебаний физического маятника:

.


Поделиться с друзьями:

mylektsii.su - Мои Лекции - 2015-2026 год. (1.042 сек.)Все материалы представленные на сайте исключительно с целью ознакомления читателями и не преследуют коммерческих целей или нарушение авторских прав Пожаловаться на материал