Студопедия

Главная страница Случайная страница

КАТЕГОРИИ:

АвтомобилиАстрономияБиологияГеографияДом и садДругие языкиДругоеИнформатикаИсторияКультураЛитератураЛогикаМатематикаМедицинаМеталлургияМеханикаОбразованиеОхрана трудаПедагогикаПолитикаПравоПсихологияРелигияРиторикаСоциологияСпортСтроительствоТехнологияТуризмФизикаФилософияФинансыХимияЧерчениеЭкологияЭкономикаЭлектроника






Вынужденные гармонические колебания пружинного маятника






Незатухающие гармонические колебания в реальной колебательной системе можно получить с помощью внешней вынуждающей силы F (t), изменяющейся по гармоническому закону: .

Колебания, возникающие под действием внешней периодически изменяющейся силы, называются вынужденными колебаниями.

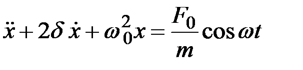
Второй закон Ньютона для вынужденных колебаний пружинного маятника:

или

.

Полученное выражение представляет собой дифференциальное уравнение вынужденных гармонических колебаний пружинного маятника.

Решением этого дифференциального уравнения является функция :

.

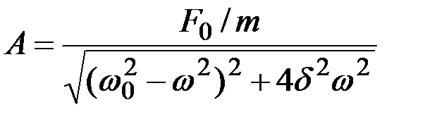
При этом амплитуда вынужденных колебаний определяется по формуле:

.

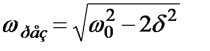
Из этой формулы следует, что амплитуда колебаний А имеет максимум при частоте , называемой резонансной частотой :

.

Явление резкого возрастания амплитуды вынужденных колебаний при приближении частоты вынуждающей силы к частоте, равной или близкой собственной частоте колебательной системы, называется резонансом.


Поделиться с друзьями:

mylektsii.su - Мои Лекции - 2015-2026 год. (1.861 сек.)Все материалы представленные на сайте исключительно с целью ознакомления читателями и не преследуют коммерческих целей или нарушение авторских прав Пожаловаться на материал