Студопедия

Главная страница Случайная страница

КАТЕГОРИИ:

АвтомобилиАстрономияБиологияГеографияДом и садДругие языкиДругоеИнформатикаИсторияКультураЛитератураЛогикаМатематикаМедицинаМеталлургияМеханикаОбразованиеОхрана трудаПедагогикаПолитикаПравоПсихологияРелигияРиторикаСоциологияСпортСтроительствоТехнологияТуризмФизикаФилософияФинансыХимияЧерчениеЭкологияЭкономикаЭлектроника






Тема 9. Механические волны






Процесс распространения колебаний в сплошной среде называется волной. Упругими (или механическими) называются волны, распространяющиеся в упругой среде. Упругие волны бывают продольные и поперечные.

В продольных волнах частицы среды колеблются в направлении распространения волны, а в поперечных – в плоскостях, перпендикулярных направлению распространения волны. Продольные волны могут возбуждаться в средах, в которых возникают упругие силы при деформации сжатия и растяжения, то есть в твердых, жидких и газообразных телах.

Поперечные волны могут возбуждаться только в твердых телах, в которых возникают упругие деформации сдвига.

Упругая волна называется гармонической, если соответствующие ей колебания частиц среды являются гармоническими.

На рис. 8 представлена гармоническая поперечная волна, распространяющаяся со скоростью вдоль оси х, то есть приведена зависимость смещения x частиц среды, участвующих в волновом процессе, от расстояния х от этих частиц до источника колебаний О для фиксированного момента времени t. Расстояние между ближайшими частицами, колеблющимися в одинаковой фазе, называется длиной волны l (рис. 8). Длина волны равна расстоянию, на которое распространяется волна за время, равное периоду колебаний T, т. е. .

 

 

Рис. 8

Геометрическое место точек, до которых доходят колебания к моменту времени t, называется волновым фронтом. Геометрическое место точек, колеблющихся в одинаковой фазе, называется волновой поверхностью. Если волновые поверхности представляют собой совокупность плоскостей, параллельных друг другу, или совокупность концентрических сфер, то, соответственно, волна называется плоской или сферической.

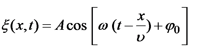
Уравнение плоской волны, распространяющейся вдолположительного направления оси х имеет вид:

,

где А – амплитуда волны;

w – круговая (циклическая) частота;

фаза плоской волны;

j 0 начальная фаза волны, определяемая в общем случае выбором начала отсчета для х и для t.

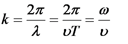
Для характеристики волн используется волновое число k:

.

С учетом этого выражения для k, уравнение плоской волны примет вид:

.

 


Поделиться с друзьями:

mylektsii.su - Мои Лекции - 2015-2026 год. (1.161 сек.)Все материалы представленные на сайте исключительно с целью ознакомления читателями и не преследуют коммерческих целей или нарушение авторских прав Пожаловаться на материал