Студопедия

Главная страница Случайная страница

КАТЕГОРИИ:

АвтомобилиАстрономияБиологияГеографияДом и садДругие языкиДругоеИнформатикаИсторияКультураЛитератураЛогикаМатематикаМедицинаМеталлургияМеханикаОбразованиеОхрана трудаПедагогикаПолитикаПравоПсихологияРелигияРиторикаСоциологияСпортСтроительствоТехнологияТуризмФизикаФилософияФинансыХимияЧерчениеЭкологияЭкономикаЭлектроника






Тема 10. Механика жидкости. Уравнение Бернулли






Гидростатика. Для несжимаемой жидкости ее плотность не зависит от давления. При поперечном сечении S столба жидкости плотностью r ивысотой h давление жидкости р на нижнее основание:

.

Давление называется гидростатическим давлением.

Гидродинамика. Графически движение жидкостей изображается с помощью линий тока, которые проводятся так, что касательные к ним совпадают по направлению с вектором скорости жидкости в соответствующих точках пространства (рис. 9). Линии тока проводятся таким образом, чтобы их густота характеризовала величину скорости: густота больше там, где больше скорость течения жидкости, и меньше там, где жидкость течет медленнее.

Часть жидкости, ограниченную линиями тока, называют трубкой тока ( рис. 10 ). Течение жидкости называется установившимся (или стационарным), если форма и расположение линий тока, а также значения скоростей в каждой ее точке со временем не изменяются.

Рис. 9 Рис. 10

Уравнение неразрывности струи для несжимаемой жидкости. Рассмотрим какую-либо трубку тока. Выберем два ее сечения S 1 и S 2 , перпен­дикулярные направлению скорости (рис. 10).

За время Dt через сечение S 1 проходит объем жидкости , где – скорость течения жидкости в месте сечения S 1 , а через сечение S 2 за тоже время Dt пройдет объем жидкости , где – скорость течения жидкости в месте сечения S 2 . Если жидкость несжимаемая, то через сечение S 2 пройдет такой же объем жидкости, как и через сечение S 1 , т. е.

.

Так как положения сечений S 1 и S 2 выбраны произвольно, то отсюда следует, что вдоль данной трубки тока . Это соотношение называется уравнением неразрывности

p 2
p 1
h 1
h 2
струи для несжимаемой жидкости.

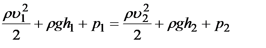
Уравнение Бернулли. Бернулли рассмотрел изменения гидродинамических параметров вдоль произвольно выбранной трубки тока стационарно текущей жидкости плотностью r (рис. 11).

Рис. 11

В месте сечения трубки тока S 1 скорость течения жидкости , давление p 1 и высота, на которой это сечение расположено относительно выбранного уровня отсчета, h 1. Аналогично, в месте сечения трубки тока S 2 скорость течения жидкости , давление p 2 и высота расположения этого сечения над тем же уровнем отсчета h 2 .

Бернулли установил, что для любых двух сечений одной трубки тока несжимаемой жидкости выполняется равенство:

.

Так как положения сечений было выбрано произвольно, то для любой трубки тока несжимаемой жидкости гидродинамические параметры жидкости подчиняются следующему уравнению (уравнению Бернулли):

.

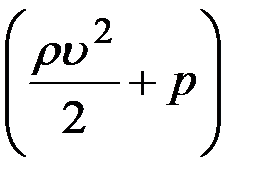
Для горизонтальной трубки тока (h = const) уравнение Бернулли принимает вид:

,

где величина называется полным давлением,

величина р называется статическим давлением,

величина называется динамическим давлением.

Из уравнения Бернулли для горизонтальной трубки тока и уравнения неразрывности струи следует, что при течении жидкости по горизонтальной трубе, имеющей различные сечения, скорость жидкости больше в местах сужения, а статическое давление, наоборот, в местах сужения меньше.

S2
S1
h
h2
h1
Формула Торричелли. Формула Торричелли позволяет находить скорость истечения жидкости через малое отверстие в стенке или дне сосуда (рис. 12). Формула Торричелли следует из уравнения Бернулли.Если применить это уравнение для двух сечений S 1 и S 2 (S 1 на уровне h 1 cвободной поверхности жидкости в сосуде и S 2 на уровне отверстия h 2), то получим равенство: Рис.12

.

Так как давления р 1 и р 2 жидкости на уровнях первого и второго сечений равны атмосферному, то р 1 2 , а полученное соотношение примет вид:

.

Из уравнения неразрывности струи следует, что ,

где S 1 и S 2 площади поперечных сечений сосуда и отверстия.

Так как S 1 > > S 2 , то и членом можно пренебречь.

Тогда ,

откуда .

Это выражение получило название формулы Торричелли, где h – высота свободной поверхности жидкости в сосуде над уровнем отверстия.

Формула Торричелли справедлива только для идеальной жидкости, то есть для жидкости, в которой отсутствует вязкость или внутреннее трение. Только в этом случае скорость истечения жидкости из малого отверстия такая же по величине, как и скорость тела, свободно падающего с высоты h.


Поделиться с друзьями:

mylektsii.su - Мои Лекции - 2015-2026 год. (0.307 сек.)Все материалы представленные на сайте исключительно с целью ознакомления читателями и не преследуют коммерческих целей или нарушение авторских прав Пожаловаться на материал