Студопедия

Главная страница Случайная страница

КАТЕГОРИИ:

АвтомобилиАстрономияБиологияГеографияДом и садДругие языкиДругоеИнформатикаИсторияКультураЛитератураЛогикаМатематикаМедицинаМеталлургияМеханикаОбразованиеОхрана трудаПедагогикаПолитикаПравоПсихологияРелигияРиторикаСоциологияСпортСтроительствоТехнологияТуризмФизикаФилософияФинансыХимияЧерчениеЭкологияЭкономикаЭлектроника






Время охлаждения электролита технической водой






Найдем за какое время охладится наш электролит от tнач(э)=96, 430С, до tкон(э)=600С, именно 600С, т.к. температура электролита в электролизере должна быть не меньше 60-80 0С, поэтому для уменьшения затрат электроэнергии для подогрева электролита до нужной температуры, мы сильно не охлаждаем электролит. Охлаждение происходит за счет холодной воды поступающей в рубашку с tнач(в)=100С, а температуру на выходе воды я возьму с tкон(в)=300С.

Расчёт проводится по [7] (стр. 152-200)

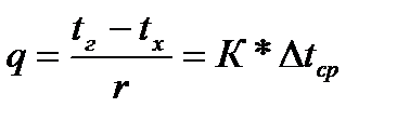
Итак, знаем, что коэффициент теплопроводности:

tг = 96, 430С - температура горячей стороны стенки аппарата;

tх =100С - температура холодной стороны стенки аппарата;

К – коэффициент теплопередачи, Вт/м2*К;

∆ tср – средняя разность температур горячей и холодной стороны стенки, К:

r – термическое сопротивление стенки:

δ = 0, 004м - толщина стенки аппарата;

λ =16, 8 Вт/м*К - коэффициент теплопроводности стенки;

 

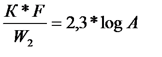
Из этого мы можем найти коэффициент теплопередачи:

 

 

 

Зная формулу:

F=1, 3 м2

св = 4190 Дж/кг*К - теплоёмкость воды;

Gв – расход воды., кг/с.

сэ = 4190 Дж/кг*К - теплоёмкость электролита;

Gэ – расход электролита., кг/ч.

 

Проходной диаметр штуцера для входа и выхода воды в рубашке:

где:
W1 – скорость потока воды, вода под напором, принимаем скорость равной 1 м/с;
G = 5, 7 м3/с объемный расход воды;

 

 

м = 30мм;
Принимаем диаметр штуцера d1 = 32 мм.


Поделиться с друзьями:

mylektsii.su - Мои Лекции - 2015-2026 год. (3.691 сек.)Все материалы представленные на сайте исключительно с целью ознакомления читателями и не преследуют коммерческих целей или нарушение авторских прав Пожаловаться на материал