Студопедия

Главная страница Случайная страница

КАТЕГОРИИ:

АвтомобилиАстрономияБиологияГеографияДом и садДругие языкиДругоеИнформатикаИсторияКультураЛитератураЛогикаМатематикаМедицинаМеталлургияМеханикаОбразованиеОхрана трудаПедагогикаПолитикаПравоПсихологияРелигияРиторикаСоциологияСпортСтроительствоТехнологияТуризмФизикаФилософияФинансыХимияЧерчениеЭкологияЭкономикаЭлектроника






Валы мешалок






а) Расчёт на прочность:

 

Для обеспечения коррозионной стойкости вал и элементы мешалок изготавливаются из того же материала, что и корпус аппарата. Допускаемые напряжения [σ ] для материала вала и мешалки принимаются равными нормативным допускаемым напряжениям σ *.

 

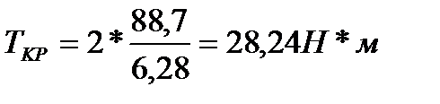
При работе вал мешалки испытывает, главным образом, кручение. Расчётный крутящий момент с учётом пусковых нагрузок определяется по формуле:

где Kд = 2 – коэффициент динамичности нагрузки;

Nм – мощность потребляемая мешалкой на перемешивание, Вт;

ω - угловая скорость вала мешалки, рад/с;

n – частота вращения вала мешалки, об/мин.

рад/с;

Полярный момент сопротивления сечения вала Wp (м3) в опасном сечении рассчитывается по формуле:

где d1 – диаметр участка вала под ступицу (берем такой же как диаметр вала 40мм (стр.74 табл.12) [2], м.

 

Прочность вала обеспечивается при выполнении условия прочности на кручение:

,

где [τ ]KP = 0.5[σ ] – допускаемое напряжение на кручение, Па.

[τ ]KP = 0.5*192, 3*106=96, 15*106 Па.

Па.

Условие прочности выполняется!

 

б) Расчёт вала на виброустойчивость:

 

Под виброустойчивостью вала понимают его способность работать с динамическими прогибами, не превышающими допускаемых значений. Динамические прогибы вала появляются в результате действия на вал неуравновешенных центробежных сил, которые возникают от неизбежных при монтаже смещений центров тяжести вращающихся масс (мешалки, сечений вала) с оси вращения.

Сущность проверочного расчёта вала на виброустойчивость заключается в определении его критической угловой скорости ω KP в воздухе, а затем в проверке условий виброустойчивости. Пример для расчета вала на виброустойчивость см. рис.5

 

Рис. 5. К расчёту вала на виброустойчивость: а) расположение вала с мешалкой в аппарате; б) прогибы сечений вала под воздействием центробежных сил; в) расчётная схема консольного вала.

 

Длина консоли вала, т.е. расстояние от нижнего подшипника до середины ступицы:

l1 = H2 – hM1,

где H2 = 1– высота корпуса аппарата, м;

hМ1 = hМ – расстояние от днища корпуса до середины ступицы, м.

hМ = 0, 2*dм

– диаметр мешалки

hМ = 0, 2*0, 5 = 0, 1 м

l1 = 1 – 0, 1 = 1, 1 м

 

Полная длина вала:

l = l1 + l2 = 1, 1+0, 150 = 1, 250м,

где l2 – длина пролёта, т.е. расстояние между подшипниками, м

l2 = 150мм = 0, 150м

 

Относительная длина консоли и пролёта

Масса вала:

где d – диаметр вала, м;

ρ СТ = 7850 кг/м3 – плотность стали.

 

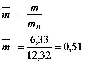
Относительная масса мешалки :

где m =6, б3кг масса мешалки (стр710, табл. 31.6) [2]

 

Относительная приведённая масс вала вычисляется по формуле:

 

 

 

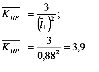
Безразмерная приведенная жёсткость вала:

Безразмерная критическая скорость:

 

Критическая угловая скорость вала в воздухе, рад/с

 

Виброустойчивость проверяют по условию:

Вал работает в дорезонансной зоне, т.е. вал жесткий.

 

Расчетный крутящий момент на валу с перемешивающим устройством М΄ к определяется по формуле:

Расчетный изгибающий момент вала в месте установки нижнего подшипника:

- расчетный изгибающий момент от действия приведенной центробежной силы:

где

mпр – приведенная сосредоточенная масса вала и перемешивающего устройства:

q – коэффициент приведения распределенной массы вала к сосредоточенной массе перемешивающего устройства mм;

.

(стр. 744 табл. 32, 29) [2].

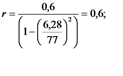
r - радиус вращения центра тяжести приведенной массы вала и мешалки:

где

e΄ - экцентриситет центра массы перемешивающего устройства [мм]:

где

δ – допускаемое биение вала (обычно принимается в пределах 1мм);

e - экцентриситет центра массы мешалки:

Определяем напряжения от крутящего и изгибающего моментов τ и σ и[Н∙ м2]

Результирующее напряжение на валу:

σ р < [σ ], т.к. 2, 2 < [192, 3]

Вывод: Выбранный вал диаметром 40мм подходит по расчету на виброустойчивость, таким образом, он удовлетворяет требованиям прочности.

 


Поделиться с друзьями:

mylektsii.su - Мои Лекции - 2015-2026 год. (1.975 сек.)Все материалы представленные на сайте исключительно с целью ознакомления читателями и не преследуют коммерческих целей или нарушение авторских прав Пожаловаться на материал