Студопедия

Главная страница Случайная страница

КАТЕГОРИИ:

АвтомобилиАстрономияБиологияГеографияДом и садДругие языкиДругоеИнформатикаИсторияКультураЛитератураЛогикаМатематикаМедицинаМеталлургияМеханикаОбразованиеОхрана трудаПедагогикаПолитикаПравоПсихологияРелигияРиторикаСоциологияСпортСтроительствоТехнологияТуризмФизикаФилософияФинансыХимияЧерчениеЭкологияЭкономикаЭлектроника






Расчет шариковых подшипников на долговечность.






1) Для вала диаметром 40 мм предварительно выбираем шариковый радиальный подшипник легкой серии № 208 [по 1, т.2, стр.205, табл.126].

Динамическая грузоподъемность этого подшипника:

С = 32000 Н;

С0 = 17800 Н.

 

2) Определяем эквивалентную нагрузку:

Pe = (X*V*Fr + Y*Fa)*Кбт, где

Fa – осевая нагрузка; Fa = 0

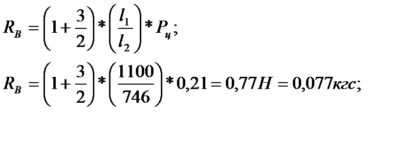
Fr = RB

Кб – коэффициент безопасности;

Кб = 1, 3 [по 3, стр.80, табл.56]

Кт – температурный коэффициент; Кт = 1 (при t < 100°C)

Х – коэффициент нагрузки; Х = 1, 0

V – коэффициент вращения колец; V = 1, 0

Y = 0

Pe = (1, 0*1, 0*0, 077 + 0)*1, 3*1, 0 = 0, 1 кгс=1Н

3) Определим базовую долговечность подшипника, т.е. ресурс (число млн. оборотов)

где

k – показатель степени (для шариковых подшипников k=3)

Динамическая расчетная грузоподъемность:

р = 3 – для шариковых подшипников

1776 Н < [32000 Н]

Следовательно, подшипник № 208 проходит по динамической грузоподъемности.

 

 


Поделиться с друзьями:

mylektsii.su - Мои Лекции - 2015-2026 год. (1.553 сек.)Все материалы представленные на сайте исключительно с целью ознакомления читателями и не преследуют коммерческих целей или нарушение авторских прав Пожаловаться на материал