Студопедия

Главная страница Случайная страница

КАТЕГОРИИ:

АвтомобилиАстрономияБиологияГеографияДом и садДругие языкиДругоеИнформатикаИсторияКультураЛитератураЛогикаМатематикаМедицинаМеталлургияМеханикаОбразованиеОхрана трудаПедагогикаПолитикаПравоПсихологияРелигияРиторикаСоциологияСпортСтроительствоТехнологияТуризмФизикаФилософияФинансыХимияЧерчениеЭкологияЭкономикаЭлектроника






Аксиально-поршневые насосы






Аксиально-поршневые насосы являются насосами роторно-поршневого типа с аксиальным расположением поршней в цилиндрах, когда продольные оси цилиндров параллельны друг другу и оси вращения ротора. Рабочие камеры образованы рабочими поверхностями поршней и цилиндров.

Различают аксиально-поршневые насосы двух типов: с наклонным диском и с наклонным блоком цилиндров. У насосов с наклонным диском ось приводного вала и ось вращения ротора совпадают, а у насосов с наклонным блоком эти оси расположены под углом друг к другу.

На рис. 4 представлен аксиально-поршневый насос с наклонным диском.

Рис.4. Аксиально-поршневой гидронасос с наклонным диском

В корпусе 2 расположен блок цилиндров 6, шлицами соединенный с приводным валом 1 и поджатый пружиной 7 к крышке 8. В расточках блока цилиндров 6 размещены поршни 5, опирающиеся на наклонный диск 3 через шаровые шарниры 4.

При вращении вала 1 приходит во вращение и блок цилиндров 6 (ротор). Поскольку опорная поверхность диска 3 расположена под углом р к оси вращения приводного вала 1, поршни 4 осуществляют сложное движение: вращаются вместе с ротором 6 и одновременно совершают в цилиндрах ротора возвратно-поступательные движения. При этом последовательно происходят процессы всасывания и нагнетания жидкости через торцевые окна и каналы S и Р, выполненные в крышке 8.

Насосы, у которых наклонный диск имеет неизменный угол наклона, называются насосы с нерегулируемой подачей В регулируемых насосах подача может быть изменена путем изменения рабочих ходов поршней 5, которые зависят от угла р наклона диска 3. При максимально допустимом угле наклона диска насос обеспечивает максимальную подачу, а при перпендикулярном его расположении относительно оси вращения вала 1, подача насоса становится равной нулю.

Для изменения угла наклона диска обычно применяют механические или гидравлические установочные механизмы, которые могут приводиться в действие механическим, электрическим или гидравлическим способом.

В аксиально-поршневом насосе применен гидравлический способ регулирования подачи С этой целью в конструкцию введен управляющий поршень 9, который при подаче давления управления в канал X передает усилие на подпружиненную опору 10 и, смещая ее, меняет угол наклона диска 3. Возможные утечки жидкости из рабочих цилиндров осуществляются через дренажный канал L.

Насосы с наклонным блоком цилиндров также выпускаются в регулируемом и нерегулируемом исполнении (рис. 7).

Рис. 7. Нерегулируемый аксиально-поршневой гидронасос с наклонным блоком цилиндров

В аксиально-поршневых насосах с наклонным блоком цилиндров оси приводного вала 8 и блока цилиндров 5 расположены в корпусе 1 под некоторым углом р, а поршни 3 связаны с диском 7 посредством толкателей 2 со сферическими шарнирами.

Вращательное движение приводного вала 8 передается на блок цилиндров 5 через толкатели 2 и поршни 3, при этом блок цилиндров центрируется относительно распределительного диска 6 с помощью оправки 4. Поршни 3 движутся относительно блока цилиндров 5 возвратно-поступательно, обеспечивая всасывание рабочей жидкости из линии всасывания S и нагнетание ее в линию Р.

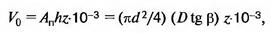
Рабочий объем аксиально-поршневых насосов, см3, определяют по следующей формуле:

где Ап - площадь поршня, мм2;

d - диаметр поршня, мм;

h - максимальный ход поршня, мм;

D-диаметр окружности блока цилиндров, мм;

Р-угол наклона диска (блока цилиндров);

Z - количество поршней.

Возможность регулирования подачи и изменения ее направления путем изменения направления наклона диска является одним из основных преимуществ насосов данного типа.


Поделиться с друзьями:

mylektsii.su - Мои Лекции - 2015-2026 год. (0.372 сек.)Все материалы представленные на сайте исключительно с целью ознакомления читателями и не преследуют коммерческих целей или нарушение авторских прав Пожаловаться на материал