Студопедия

Главная страница Случайная страница

КАТЕГОРИИ:

АвтомобилиАстрономияБиологияГеографияДом и садДругие языкиДругоеИнформатикаИсторияКультураЛитератураЛогикаМатематикаМедицинаМеталлургияМеханикаОбразованиеОхрана трудаПедагогикаПолитикаПравоПсихологияРелигияРиторикаСоциологияСпортСтроительствоТехнологияТуризмФизикаФилософияФинансыХимияЧерчениеЭкологияЭкономикаЭлектроника






Выбор направлений трассы и значений руководящего уклона






В начале проводим геодезическую линию между пунктами А и Б. Выявляем препятствия лежащие на пути геодезической линии и назначаем фиксированные точки.

Основанием для выбора направления являются положение опорного пункта А и заданное направление Б. Через фиксированные точки проведены два варианта трассы.

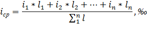
По каждому вероятному направлению воздушно-ломаной линии необходимо определить длину и средний уклон (для 3 категории дороги ≤ 20 ‰, СТН Ц-01-95):

где – уклоны на отдельных участках вдоль рассматриваемого воздушно-ломаного направления;

n – количество участков с одинаковым рельефом (спуск или подъем примерно одного уклона площадки) на которые разбивается воздушно-ломаное направление.

Уклон каждого участка :

где – отметки конца и начала участка соответственно (м);

l- длина участка.

Характеристика вариантов воздушно-ломанных линий Таблица 1

Варианты I II III
Длина ВЛЛ, км 1, 75 3, 5 4, 575
Iср,      

 

 

Для дальнейшего проектирования выбираю .

Далее производится оценка вариантов по ряду показателей: средневзвешенный уклон, сумма преодолеваемых высот в направлении туда и обратно, коэффициент развития линии, длина варианта, количество пересекаемых водотоков и количество неблагоприятных мест. Сравнение вариантов производится в табличной форме.

По грузонапряженности принимаю линию III категории.

Принимаю следующие значения:

Уклоном трассирования называется наибольшая допускаемая величина уклона продольного профиля на участке трассы, определяемая величиной ограничивающего уклона (руководящего, уравновешенного, усиленной тяги) за вычетом среднерасчетной величины смягчения ограничивающего уклона на кривых:

где – эквивалентный уклон (.

Магистральный ход укладывается на вольном ходу – по кратчайшему расстоянию, на напряжённом ходу – по линии нулевых работ.

Раствор циркуля lц для укладывания линии нулевых работ определится из соотношения:

где ∆ h=5м – сечение горизонталей;

m=4 – количество сантиметров в 1 км в зависимости масштаба карты.

Для масштаба карты 1: 25000:

При =8 ‰

При = 10 ‰

При =12 ‰

Для протрассированных вариантов составляется таблица 2.

 

 

Характеристика вариантов магистральных ходов Таблица 2

№ п/п показатели измерители 1 вариант, iр=iср 2 вариант, iр=iср+2 3 вариант, iр=iср-2
  Длина геодезической линии км 8, 55 Не рассматриваем, т.к. строительство ведет за собой снос поселка.
  Средний уклон по ВЛЛ %₀  
  Длина магистрального хода км 11, 9 11, 5
  Руководящий уклон %₀    
  Коэффициент развития линии, λ дол. ед. 1, 4 1, 5
  Степень использования руководящего уклона %    
  Число пересекаемых рек шт    

Выбираем два варианта трассы с уклонами трассирования вариант I - = 10 ‰, вариант II - = 12 ‰.


Поделиться с друзьями:

mylektsii.su - Мои Лекции - 2015-2026 год. (2.839 сек.)Все материалы представленные на сайте исключительно с целью ознакомления читателями и не преследуют коммерческих целей или нарушение авторских прав Пожаловаться на материал