Студопедия

Главная страница Случайная страница

КАТЕГОРИИ:

АвтомобилиАстрономияБиологияГеографияДом и садДругие языкиДругоеИнформатикаИсторияКультураЛитератураЛогикаМатематикаМедицинаМеталлургияМеханикаОбразованиеОхрана трудаПедагогикаПолитикаПравоПсихологияРелигияРиторикаСоциологияСпортСтроительствоТехнологияТуризмФизикаФилософияФинансыХимияЧерчениеЭкологияЭкономикаЭлектроника






Тема 3. Проблемы инженерно-психологического проектирования и оценки человеко-машинных систем.






Вопросы к семинарским занятиям:

1. В чем состояли различия в основных подходах к инженерно-психологическому проектированию?

2. Основные требования к средствам отображения информации. Примеры информационных моделей.

3. Проблема цвета в инженерно-психологическом обеспечении деятельности человека.

4. Инженерно-психологические требования к средствам ввода информации. Сравнение различных способов ввода информации в современных компьютерных системах.

5. Проблема организации рабочего пространства и рабочей среды человека.

6. Учет инженерно-психологических закономерностей в организации рекламы.

Задания для самостоятельной работы:

1. Подготовьте протокол инженерно-психологической оценки одного из технических или программных средств по Вашему выбору.

2. Проведите анализ взаимного расположения устройств на любом рабочем месте.

3. Проведите анализ размещения рабочих мест в пространстве офиса.

4. Проведите анализ рекламной продукции с точки зрения учета инженерно-психологических требований.

Методический материал

Инженерно-психологическая оценка технических и программных средств [по 3]

Инженерно-психологическая оценка заключается в количественном выра­жении соответствия значений показателей инженерно-психоло­гического качества оцениваемого объекта разработанным ин­женерно-психологическим требованиям.

Процедура инженерно-психологической оценки:

1. Ознакомиться c перечнем требований к показателям инже­нерно-психологического качества оцениваемых средств.

2. Сопоставляя требования c объектом оценки, отобрать ин­женерно-психологические показатели, соответствующие этим требованиям, и определить их рекомендованные значения.

3. Исследовать оцениваемые технические или программные средства c целью получения фактических значений выбранных показателей, которые могут быть установлены по конструкторской документа­ции, техническому описанию, в результате прямых измерений, а также расчетов и должны быть зафиксированы экспертом.

4. Сопоставить фактические значения показателей c рекомендуемыми и выставить частные оценки «удовлетворяет», если
фактическое значение показателя соответствует рекомендован­
ному, и «не удовлетворяет», если фактическое значение показателя
не соответствует рекомендованному.

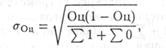
5. Рассчитать общую оценку (Оц) и ее стандартную погреш-
ность:

где ∑ 1 —суммарное число случаев, когда имеет место соот­ветствие фактических значений инженерно-психологических по­казателей качества технического устройства рекомендованным; ∑ 0 — суммарное число случаев, когда такого соответствия нет. Очевидно, что ∑ 1 + ∑ 0 — общее число используемых показа­телей. Поэтому общая оценка, которая изменяется в пределах от 0 до 1, имеет смысл эмпирической вероятности,

а стандартная погрешность, рассчитываемая по формуле:

 

 

 

имеет смысл среднеквадратической погрешности оценки вероятности.

 

Результаты оценки вносятся в таблицу:

№ π /π Наименование требования Показатель Оценка Замечания и рекомендации
         

 

По результатам оценки формулируются рекомендации, в которых указываются мероприятия по улучшению инженерно-психологического качества оцениваемого объекта.

Литература:

1. Лабораторный практикум по основам инженерной психологии. /Под ред. Душкова Б.А. - М., 1983.

2. Мунипов В.М., Зинченко В.П. Эргономика: человекоориентированное проектирование техники, програмных средств и среды. – М.: Логос, 2001.

3. Практикум по экспериментальной и прикладной психологии. // Под ред. Крылова А.А. – Санкт-Петербург, 1997.

4. Справочник по инженерной психологии / Под ред. Ломова Б.Ф. - М., «Машиностроение», 1982.

Дополнительная литература:

5. Бреслав Г.Э. Цветопсихология и цветолечение для всех. – СПб, 2000.

6. Васильев М.Ф. Структура восприятия, пропорции в архитектуре, музыке, цвете. - М.: Изд-во РУДН, 2000.

7. Лебедев А.Н., Боковиков А.К. Экспериментальная психология в российской рекламе. – М., 1995.

8. Лебедев-Любимов А.Н. Психология рекламы. – СПб: Питер, 2004.

9. Мокшанцев Р.И. Психология рекламы. – М.: ИНФРА-М, 2000.

10. Проблема цвета в психологии / Отв. ред. Н.Н.Корж, А.А.Митькин. – М.: Наука, 1993.

11. Фрилинг Г., Ауэр К. Человек – цвет – пространство. Пер. с нем. – М.: Стройиздат, 1973.

Семинары 4-5.


Поделиться с друзьями:

mylektsii.su - Мои Лекции - 2015-2026 год. (1.688 сек.)Все материалы представленные на сайте исключительно с целью ознакомления читателями и не преследуют коммерческих целей или нарушение авторских прав Пожаловаться на материал