Студопедия

Главная страница Случайная страница

КАТЕГОРИИ:

АвтомобилиАстрономияБиологияГеографияДом и садДругие языкиДругоеИнформатикаИсторияКультураЛитератураЛогикаМатематикаМедицинаМеталлургияМеханикаОбразованиеОхрана трудаПедагогикаПолитикаПравоПсихологияРелигияРиторикаСоциологияСпортСтроительствоТехнологияТуризмФизикаФилософияФинансыХимияЧерчениеЭкологияЭкономикаЭлектроника






Расчет одноступенчатого червячного редуктора






Рассчитать червячный редуктор общего назначения привод машины для глазирования конфет от электродвигателя 4А90LАУЗ мощностью N=0, 75 кВт с частотой вращения быстроходного вала n1 = 916 об/мин, тихоходного вала об/мин. Передаточное число редуктора i = 8.

 

Номинальные частоты вращения и угловые скорости валов редуктора:

 

(2.1)

Где, ω 1 – угловая скорость, рад/сек;

n2 - частота вращения быстроходного вала, об/мин;

где i – передаточное число.

, (2.2)

 

; (2.3)

 

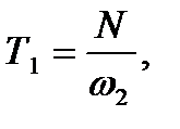
Вращающие моменты:

(2.4)

 


где, ориентировочно принят

; (2.5)

Где, Т1 – вращающий момент,

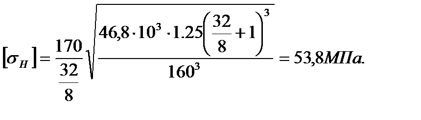
Материал для венца червячного колеса и червяка примем по табл. 4.8 / 12/, пологая, что будет небольшая скорость скольжения ( < 10 м/c), так как частота вращения червяка не значительна - 916 об/мин. В этом случае следует для венца червячного колеса принять оловянную бронзу, для которой допускаемое напряжение , не зависит от скорости скольжения. Для венца червячного колеса примем бронзу Бр010Ф1, отливка центробежная; для червяка - углеродистую сталь с твердостью НRC 45. В этом случае по табл. 4.8 / 12 / основное допускаемое напряжение МПа. Расчетное допускаемое напряжение ˊ (см. с. 66)/ 12 /, где коэффициент долговечности примем по его номинальному значению .

Тогда

Число витков червяка принимаем в зависимости от передаточного числа: при u=8 принимаем (см. с. 55) / 12 /.

Число зубьев червячного колеса.

; (2.6)

Где, - число витков червяка;

i – передаточное отношение

Принимаем предварительно коэффициент диаметра червяка q=8 и коэффициент нагрузки К=1.2

Определяем межосевое расстояние из условий контактной прочности

 


(2.7)

где [ ] - расчетное допускаемое напряжение, МПа;

Т2 - вращающий момент на ведомом валу, Н * мм.

мм;

(2.8)

Модуль: m= мм

Принимаем по ГОСТ 2144 - 76 (таблицы 4.1 и 4.2) / 12 / стандартные значения m=8 мм и q=8 мм, а также z2=32 и z1=4.

Тогда пересчитываем межосевое расстояние по стандартным значениям m, q и

 

(2.9)

Межосевое расстояние мм.

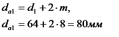
Основные размеры червяка:

делительный диаметр червяка

(2.10)

 

диаметр вершин витков червяка:

(2.11)

 

диаметр впадин витков червяка:

где d1 - делительный диаметр червяка, мм;

m - модуль, мм.

(2.12)

длина нарезной части шлифованного червяка:

где z2 - число зубьев червячного колеса. (2.13)

Делительный угол подъема по таблице 4.3 / 12 /: при z1=4 и q=8

=26о34/.

Основные размеры венца червячного колеса:

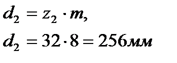
делительный диаметр червячного колеса:

(2.14)


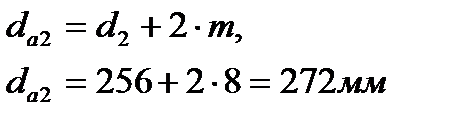
диаметр вершин зубьев червячного колеса:

(2.15)

диаметр впадин зубьев червячного колеса:

(2.16)

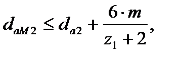
наибольший диаметр червячного колеса:

(2.17)

где z1 число витков червяка.

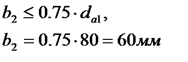
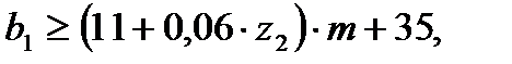
ширина венца червячного колеса

(2.18)

окружная скорость червяка:

где d1 - делительный диаметр червяка, мм; (2.19)

n2 - частота вращения ведомого вала, об/мин

м/с

Скорость скольжения:

где - делительный угол подъёма, град (2.20)

м/c

Предположение, что скорость скольжения будет менее 10м/с, оправдалось. Поэтому для венца червячного колеса была выбрана бронза.

Уточняем КПД редуктора.

По таблице 4.4 / 12 / при скорости ≈ 3, 35 м/спри шлифованном червяке приведенный угол трения p=

КПД редуктора с учетом потерь в опорах, потерь на разбрызгивание и перемешивание масла:

(2.21)

По таблице 4.7 / 12 / выбираем 7-ю степень точности передачи и находим значение коэффициента динамичности K =1.

Коэффициент неравномерности распределения нагрузки:

где - коэффициент деформации червяка; по таблице 4.6 / 12 / в зависимости от q=8 и z1=4 он равен =47. При незначительных колебания нагрузки вспомогательный коэффициент х=0, 6:

(2.22)

 

Коэффициент нагрузки

(2.23)

Проверяем контактное напряжение

 

 

(2.24)

где z2 - число зубьев червячного колеса;

q - коэффициент диаметра червяка;

Т2 - вращающий момент на ведомом валу, Н * мм; К - коэффициент нагрузки;

aw - межосевое расстояние, мм.

Проверяем прочность зубьев червячного колеса на изгиб.

Эквивалентное число зубьев

(2.25)

 

Коэффициент формы зуба по таблице 4.5 / / YF=2.06.

Напряжение изгиба:

где b2 - ширина венца червячного колеса, мм;

m - модуль, мм.

(2.26)

 

Основное допускаемое напряжение изгиба для реверсивной работы по таблице 4.8 / 12 / [ 1F]'=25 МПа.

Расчетное допускаемое напряжение

где - коэффициент долговечности примем по его минимальному значению

КFL =0, 543

Таким образом МПа. Прочность обеспечена, так как

Согласно проведенным расчетам принимаем универсальный червячный редуктор с межосевым расстоянием передаточным числом u=8, выполненным по схеме сборки 3 с нижним расположением червяка,

(исполнение 1) с лапами 2 (по способу крепления)

РЧУ -132-8-2-2 ГОСТ 13563-68.


Поделиться с друзьями:

mylektsii.su - Мои Лекции - 2015-2026 год. (3.231 сек.)Все материалы представленные на сайте исключительно с целью ознакомления читателями и не преследуют коммерческих целей или нарушение авторских прав Пожаловаться на материал