Студопедия

Главная страница Случайная страница

КАТЕГОРИИ:

АвтомобилиАстрономияБиологияГеографияДом и садДругие языкиДругоеИнформатикаИсторияКультураЛитератураЛогикаМатематикаМедицинаМеталлургияМеханикаОбразованиеОхрана трудаПедагогикаПолитикаПравоПсихологияРелигияРиторикаСоциологияСпортСтроительствоТехнологияТуризмФизикаФилософияФинансыХимияЧерчениеЭкологияЭкономикаЭлектроника






Свойства дисперсии. Дисперсия обладает рядом простых свойств:






Дисперсия обладает рядом простых свойств:

1. D(a) = 0 — дисперсия постоянной величины равна нулю.

 

2. — дисперсия не меняется, если все варианты увеличить или уменьшить на одно и то же число.

 

3. постоянный множитель выносится за знак дисперсии возведенным в квадрат. Или: если все варианты умножить на число а, дисперсия увеличиться в раз.

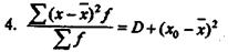
— это свойство носит название свойства минимальности дисперсии от средней. Дисперсия от средней меньше, чем средний квадрат отклонения от любого числа на .

Использование свойств дисперсии позволяет упрощать ее расчеты, особенно в тех случаях, когда вариационный ряд составляет арифметическую прогрессию или имеет равные интервалы. В этих случаях сначала находят дисперсию от условного нуля, а затем используют 4-е свойство дисперсии, переходят к дисперсии от средней.


Поделиться с друзьями:

mylektsii.su - Мои Лекции - 2015-2026 год. (2.925 сек.)Все материалы представленные на сайте исключительно с целью ознакомления читателями и не преследуют коммерческих целей или нарушение авторских прав Пожаловаться на материал