Студопедия

Главная страница Случайная страница

КАТЕГОРИИ:

АвтомобилиАстрономияБиологияГеографияДом и садДругие языкиДругоеИнформатикаИсторияКультураЛитератураЛогикаМатематикаМедицинаМеталлургияМеханикаОбразованиеОхрана трудаПедагогикаПолитикаПравоПсихологияРелигияРиторикаСоциологияСпортСтроительствоТехнологияТуризмФизикаФилософияФинансыХимияЧерчениеЭкологияЭкономикаЭлектроника






Тема 1.2 Уравнения и неравенства первой и второй степени.






Цель: отработать основные приемы решения уравнений и неравенств первой и второй степени.

Форма работы: решение задач.

Задания для самостоятельной работы:

Вариант 1.

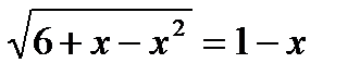
№1. Решить уравнение:

1) ; 2) ; 3) ;

4) ; 5) .

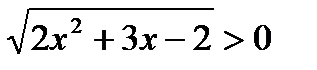
№2. Решить неравенство:

1) ; 2) ; 3) ; 4) .

№3. Выяснить с помощью графиков, сколько корней имеет уравнение, и найти приближенные значения этих корней: ;

№4. Решить неравенство, используя графики функций: .

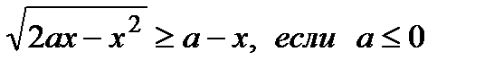
№5*. Решить неравенство (относительно х):

1) ; 2) .

Вариант 2.

№1. Решить уравнение:

1) ; 2) ; 3) ; 4) ; 5)

№2. Решить неравенство:

1) ; 2) ; 3) ; 4) .

№3. Выяснить с помощью графиков, сколько корней имеет уравнение, и найти приближенные значения этих корней: .

№4. Решить неравенство, используя графики функций: .

№5*. Решить неравенство (относительно х):

1) ; 2) .

Список рекомендуемой литературы:

1.Википедия – свободная энциклопедия https://ru.wikipedia.org/wiki

2. Мордкович А.Г., Алгебра и начала анализа, 10-11 классы, часть 1, М.: Мнемозина, 2007.

3.БашмаковМ.И., Алгебра и начала анализа, 10-11 классы, М.: Просвещение, 1993.

Порядок проверки, защиты самостоятельной работы: проверка рабочей тетради.

 


Поделиться с друзьями:

mylektsii.su - Мои Лекции - 2015-2026 год. (1.141 сек.)Все материалы представленные на сайте исключительно с целью ознакомления читателями и не преследуют коммерческих целей или нарушение авторских прав Пожаловаться на материал