Студопедия

Главная страница Случайная страница

КАТЕГОРИИ:

АвтомобилиАстрономияБиологияГеографияДом и садДругие языкиДругоеИнформатикаИсторияКультураЛитератураЛогикаМатематикаМедицинаМеталлургияМеханикаОбразованиеОхрана трудаПедагогикаПолитикаПравоПсихологияРелигияРиторикаСоциологияСпортСтроительствоТехнологияТуризмФизикаФилософияФинансыХимияЧерчениеЭкологияЭкономикаЭлектроника






Тема 3.1.Степень и ее свойства.






Цель: систематизация и закрепление знаний и практических умений.

Форма работы: составление сводной (обобщающей) таблицы по теме, решение задач

Задания для самостоятельной работы:

Вариант 1.

№1. Составить и заполнить таблицу «Корни и степени». Задание одинаково для всех. Примеры и их решения должны быть индивидуальными.

№2. Представить в виде степени с рациональным показателем:

1) ; 2) .

№3. Представить в виде корня из степени с целым показателем:

1) ; 2) ; 3) .

№4. Найти значение выражения:

1) при а =0, 09; 2) при b =27.

№5. Представить в виде степени с рациональным показателем:

1) ; 2) ; 3) ; 4) .

№6. Сократите дробь:

1) ; 2) ; 3) .

№7. Выяснить, какое из чисел больше:

1) ; 2) .

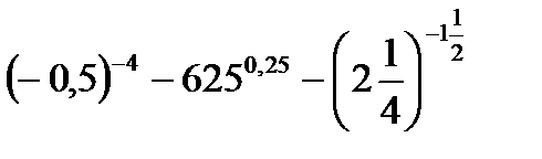
№8. Вычислить .

Вариант 2.

№1. Составить и заполнить таблицу «Корни и степени». Задание одинаково для всех. Примеры и их решения должны быть индивидуальными.

№2. Представить в виде степени с рациональным показателем: 1) ; 2) .

№3. Представить в виде корня из степени с целым показателем:

1) ; 2) ; 3) .

№4. Найти значение выражения:

1) при с =100; 2) при b =0, 0016;.

№5. Представить в виде степени с рациональным показателем:

1) ; 2) ; 3) ; 4) .

№6. Сократите дробь:

1) ; 2) ; 3) .

№7. Выяснить, какое из чисел больше:

1) ; 2) .

№8. Вычислить .

 

Список рекомендуемой литературы:

1.Википедия – свободная энциклопедия https://ru.wikipedia.org/wiki

2. Мордкович А.Г., Алгебра и начала анализа, 10-11 классы, часть 1, М.: Мнемозина, 2007.

3. Пратусевич М.Я., Алгебра и начала анализа, 10 класс, учеб. для общеобразоват. учреждений, М.: Просвящение, 2009.

Порядок проверки, защиты самостоятельной работы: проверка рабочей тетради.


Поделиться с друзьями:

mylektsii.su - Мои Лекции - 2015-2026 год. (0.789 сек.)Все материалы представленные на сайте исключительно с целью ознакомления читателями и не преследуют коммерческих целей или нарушение авторских прав Пожаловаться на материал