Студопедия

Главная страница Случайная страница

КАТЕГОРИИ:

АвтомобилиАстрономияБиологияГеографияДом и садДругие языкиДругоеИнформатикаИсторияКультураЛитератураЛогикаМатематикаМедицинаМеталлургияМеханикаОбразованиеОхрана трудаПедагогикаПолитикаПравоПсихологияРелигияРиторикаСоциологияСпортСтроительствоТехнологияТуризмФизикаФилософияФинансыХимияЧерчениеЭкологияЭкономикаЭлектроника






Тема 7.1. Действия над векторами.






Цель: систематизация и закрепление знаний и практических умений, развитие способности выделять главные понятия темы и формулировать их.

Форма работы: составление глоссария, решение задач,

Задания для самостоятельной работы:

Вариант 1.

№1. Составить глоссарий по теме «Вектор».

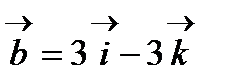
№2. При каких значениях длины векторов и

будут равны?

№3. Вычислить угол между векторами и .

№4. Определить угол между векторами и , если А (1; -3; -4),

В (-1; 0; 2), С (2; -4; -6), D (1; 1; 1).

№5. Найти равнодействующую двух сил и , если , , угол между ними

 

Вариант 1.

№1. Составить глоссарий по теме «Вектор».

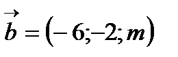
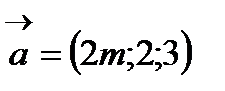
№2. Даны векторы и .При каком значении m .

№3. Вычислить угол между векторами и .

№4. Определить угол между векторами и , если А (1; 3; 0),

В (2; 3; -1), С (1; 2; -1).

№5. Вычислить работу, которую производит сила , если ее точка приложения, двигаясь прямолинейно, перемещается из положения А (-1; 3), в положение В (3; 4).

Список рекомендуемой литературы:

1.Википедия – свободная энциклопедия https://ru.wikipedia.org/wiki

2. Атанасян А. С., Бутузов В.Ф., Кадомцев С.Б., Геометрия 10-11, М: Просвещение, 2010.

Порядок проверки, защиты самостоятельной работы: проверка рабочей тетради.


Поделиться с друзьями:

mylektsii.su - Мои Лекции - 2015-2026 год. (1.319 сек.)Все материалы представленные на сайте исключительно с целью ознакомления читателями и не преследуют коммерческих целей или нарушение авторских прав Пожаловаться на материал