Студопедия

Главная страница Случайная страница

КАТЕГОРИИ:

АвтомобилиАстрономияБиологияГеографияДом и садДругие языкиДругоеИнформатикаИсторияКультураЛитератураЛогикаМатематикаМедицинаМеталлургияМеханикаОбразованиеОхрана трудаПедагогикаПолитикаПравоПсихологияРелигияРиторикаСоциологияСпортСтроительствоТехнологияТуризмФизикаФилософияФинансыХимияЧерчениеЭкологияЭкономикаЭлектроника






Прогрессии






ЧИСЛА, ДРОБИ, МОДУЛИ

Множества:

Æ - пустое множество

N = {1, 2, 3, …} - множество натуральных чисел

Z = - множество целых чисел

Q = - множество рациональных чисел (дробей)

R – множество вещественных (действительных) чисел

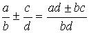
Арифметические операции с дробями:

, ; ; ; ; ; ;

Пропорция: ;

Модуль числа:

Определение: ;

Свойства модуля:

; ; ; ; ;

;

ФОРМУЛЫ СОКРАЩЕННОГО УМНОЖЕНИЯ

;

;

;

;

;

;

;

СТЕПЕНИ И КОРНИ

; ; ; ; ; ; ; ; ; ; ;

Показательные неравенства:

.

КВАДРАТНЫЕ УРАВНЕНИЯ

; .

Корни уравнения: , где - дискриминант.

Формулы Виета: ; ,

где x 1 и x 2 – корни квадратного уравнения.

Разложение квадратного трехчлена на множители:

.

Приведенное уравнение: ; .

Квадратное неравенство:

если D > 0, a > 0, , то

- “решение за корнями”

- “решение между корнями”,

где - корни квадратного трехчлена.

ПРОГРЕССИИ

Арифметическая прогрессия:

Общий член: , , где - разность прогрессии;

Частичная сумма: .

Геометрическая прогрессия:

Общий член: , где - знаменатель прогрессии;

Частичная сумма: .

Сумма бесконечно-убывающей геометрической прогрессии (при ): .

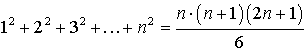
Некоторые суммы:

; ;

;

; ;


Поделиться с друзьями:

mylektsii.su - Мои Лекции - 2015-2026 год. (2.424 сек.)Все материалы представленные на сайте исключительно с целью ознакомления читателями и не преследуют коммерческих целей или нарушение авторских прав Пожаловаться на материал