Студопедия

Главная страница Случайная страница

КАТЕГОРИИ:

АвтомобилиАстрономияБиологияГеографияДом и садДругие языкиДругоеИнформатикаИсторияКультураЛитератураЛогикаМатематикаМедицинаМеталлургияМеханикаОбразованиеОхрана трудаПедагогикаПолитикаПравоПсихологияРелигияРиторикаСоциологияСпортСтроительствоТехнологияТуризмФизикаФилософияФинансыХимияЧерчениеЭкологияЭкономикаЭлектроника






Логарифмы






Логарифм числа по основанию :

.

Основное логарифмическое тождество: .

Свойства логарифмов:

; ;

; ; .

Десятичные логарифмы : .

Натуральные логарифмы : .

Логарифмическое неравенство:

.

ТРИГОНОМЕТРИЯ

Основные соотношения

; ; ;

; ; ;

; .

7.2. Перевод из радианной меры углов в градусную и обратно:

; ;

Основные значения тригонометрических функций

 

Знаки тригонометрических функций

Формулы сложения

;

;

;

;

; ;

; ;

Формулы двойных углов

;

;

; ;

Формулы тройных углов

; ;

; ;

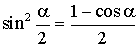
Формулы половинных углов

; ;

; ;

;

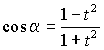
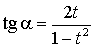
Универсальная тригонометрическая подстановка, используемая для решения тригонометрических уравнений:

; ; ; ;

Формулы приведения

Формулы преобразования суммы и разности

;

;

;

;

, где ;

; ;

; .

Формулы преобразования произведения

;

;

.

Обратные тригонометрические функции

;

;

;

.

Простейшие тригонометрические уравнения

1) ; ; .

Частные случаи: ; ;

; ;

; .

2) ; ; .

Частные случаи: ; ;

; ;

; .

3) , ; .

4) ; ; .


Поделиться с друзьями:

mylektsii.su - Мои Лекции - 2015-2026 год. (1.357 сек.)Все материалы представленные на сайте исключительно с целью ознакомления читателями и не преследуют коммерческих целей или нарушение авторских прав Пожаловаться на материал