Студопедия

Главная страница Случайная страница

КАТЕГОРИИ:

АвтомобилиАстрономияБиологияГеографияДом и садДругие языкиДругоеИнформатикаИсторияКультураЛитератураЛогикаМатематикаМедицинаМеталлургияМеханикаОбразованиеОхрана трудаПедагогикаПолитикаПравоПсихологияРелигияРиторикаСоциологияСпортСтроительствоТехнологияТуризмФизикаФилософияФинансыХимияЧерчениеЭкологияЭкономикаЭлектроника






Примеры решения задач. Задача 1. Три одинаковых положительных заряда q1= q2=q3=1нКл расположены по вершинам равностороннего треугольника






Задача 1. Три одинаковых положительных заряда q1= q2=q3=1нКл расположены по вершинам равностороннего треугольника. Какой отрицательный заряд q4 нужно поместить в центре треугольника, чтобы сила притяжения с его стороны уравновесила силы взаимного отталкивания зарядов, находящихся в вершинах?

  Дано: q1=q2=q3=1нКл       1· 10-9 Кл     Решение. Физическую систему составляют четыре заряда, расположенные так, как показано на рис.
q4-?

 

 

Рис.1.1

 

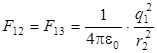
Так как три заряда, расположенные в вершинах, находятся в одинаковых условиях, достаточно рассмотреть равновесие одного из них, например q1. На рис. показаны силы, действующие на заряд q1. Со стороны зарядов q2, q3, q4 – соответственно `F12, `F13, `F14.

Запишем условия равновесия:

`F12+`F13+`F14=`F+`F14=0, (1.10)

 

где `F – равнодействующая сил `F12 и `F13.

Уравнение (1) запишем в проекциях на ось 0Х:

 

F-F14=0 или F=F14. (1.11)

 

Найдём F по теореме косинусов (см. рис.1.1) с учётом, что из (1.1) ,
. (1.12)

 

F4 – можно определить по закону Кулона (1.1):

 

. (1.13)

 

Из геометрических соображений

(1.14)

Приравняем (1.12) и (1.14) с учётом того, что в равностороннем треугольнике a = 60° и принимая во внимание (1.14):

 

(1.15)

 

Отсюда получим .

Подставим численное значение:

 

q4 = 0, 58 нКл.

 

Ответ: q4 = = 0, 58 нК.

 

Задача 2. Два заряда 9q и –q закреплены на расстоянии 1м друг от друга. Третий заряд q1 может перемещаться только вдоль прямой, проходящей через заряды. Определить положение заряда q1, при котором он будет находиться в равновесии. При каком знаке заряда равновесие будет устойчивым?

 

Дано: 9q q1 -q l =1м Решение. Физическая система состоит из трёх зарядов. Рассмотрим равновесие заряда q1. Векторная сумма сил, действующих на него, будет равна нулю. Покажем на рис. три возможных случая расположения заряда q1 по отношению к 9q и –q, а также силы, действующие на него в каждом из этих трёх случаев.  
х -?

 

 

Рис.

 

Из рис. видно, что в случае 2 векторная сумма сил отличная от нуля, т.к. силы действующие со стороны заряда 9q и –q, соответственно`F+ и `F- направлены одинаково. Силы взаимодействия двух точечных зарядов пропорциональны величинам зарядов и обратно пропорциональны расстоянию между ними. Следовательно, в случае 2 |F+| > ê F-ê, т.к. положительный заряд 9q больше отрицательного по модулю и расположен к q1 ближе, чем заряд -q. Остаётся записать условия равновесия для случая 3:

 

или |F+ | = |F- |

 

Используем закон Кулона (1.1):

.

Отсюда, после сокращений и извлечения квадратного корня получим:

 

l + x= ± 3x или x1= l /2, x2= - l /4

 

Корень x2 не удовлетворяет физическому условию задачи (см. рис. случай 2). Подставим числовое значение: х = 0, 5м. Определим знак заряда, при котором равновесие будет устойчивым. Равновесие называется устойчивым, если при смещении заряда от положения равновесия возникают силы, возвращающие его в положение равновесия. Рассмотрим смещение заряда q1 в двух случаях: 1) заряд положителен и 2) заряд отрицателен. Если заряд q1 положителен, то при смещении его влево обе силы `F+ и `F- возрастают. Но, `F+ возрастает медленнее (заряд 9q всегда находится дальше, чем -q), следовательно, `F- по модулю больше чем F+, и на заряд q1 будет действовать результирующая сила, направленная от положения равновесия. То же происходит и при смещении заряда вправо.

Таким образом, в случае положительного заряда равновесие является не устойчивым.

1) если заряд q1 отрицателен, то его смещение влево вызовет увеличение сил F+ u F-, но сила F+ возрастает медленнее, чем F-, т.е. | F+| < |F-|. Следовательно, результирующая сила направлена к положению равновесия. При смещении вправо результат будет таким же. При отрицательном заряде равновесие будет устойчивым, величина заряда q1 несущественна.

 

Примечание. В электростатике устойчивое равновесие возможно только при определённых ограничениях. В рассматриваемом примере заряд q1 может перемещаться только вдоль прямой, проходящей через заряды q u –9q. При снятии этого ограничения устойчивое равновесие не возможно.

 

Ответ: х= l / 2=0, 5м. Равновесие будет устойчивым, если q1 - отрицателен.

Задача 3. Тонкий стержень длиной 30см несёт равномерно распределённый по длине заряд с линейной плотностью 1мкКл/м. На расстоянии 20см от стержня находится заряд 10мкКл равноудалённый от концов стержня. Определить силу взаимодействия точечного заряда с заряженным стержнем.

  Дано: l= 30cм r0=20см t=1мкКл/м q=10мкКл     0, 3м 0, 2м 10-6Кл/м 10-8Кл   Решение. Физическая система, которую мы будем рассматривать, состоит из стержня и точечного заряда, находящегося в поле стержня. Найдем силу, действующую на точечный заряд. Эту силу можно выразить через напряжённость поля  
F -?  

заряженного стержня в точке 0, где находится точечный заряд (см. рис.1.3):

 

(1.19)

Будем рассматривать стержень как совокупность точечных зарядов. Для этого разобьём его на дифференциально малые участки dl с зарядом dq=tdl. Сначала найдём напряжённость такого точечного заряда, а затем используя принцип суперпозиции (1.6) напряженность поля всего стержня. Покажем на рис.1.3 выделенный элемент и напряженность создаваемого им поля, и разложим на два перпендикулярных вектора (перпендикулярный стержню) и (параллельный стержню).

Тогда в соответствии с (1.6):

Для участков dl, расположенных на стержне симметрично относительно ОА, вектор будет иметь направление, противоположное указанному на рисунке. Следовательно, эти векторы в сумме дадут ноль, и ò // = 0.

Тогда ^ и, следовательно, результирующий вектор будет направлен перпендикулярно стержню, а модуль его

. (1.21)

 

Из рис.1.3 видно: . Напряженность точечного заряда dq (1.4):

Из геометрических построений (рис.1.3): , , . (1.23)

Подставим: · . (1.24)

Из геометрических соображений:

(1.25)

 

 

Рис.

Подставим (1.25) в (1.24) и получим напряженность поля в точке, где находится заряд q:

. (1.26)

 

Тогда сила, действующая на заряд (1.19):

 

 

F= . (1.27)

 

После подстановки числовых значений: F= 0, 54 мН.

Ответ: F= = 0, 54 мН и направлена перпендикулярно стержню, от него.

 

 

Задача 4. Электрическое поле создано бесконечной плоскостью, заряженной с поверхностной плотностью 400нКл/м2 и бесконечной прямой нитью, заряженной с линейной плотностью 100нКл/м. На расстоянии 10см от нити находится точечный заряд 10нКл. Определить силу действующую на заряд, её направление, если заряд и нить лежат в одной плоскости, параллельной заряженной плоскости.

  Дано: s =400нКл/ м2 t =100нКл/м q =10нКл r = 10см     4× -10-7 л/м2 10-7 Кл/ м 10-8 Кл 0, 1м   Решение. Рассмотрим физическую систему, состоящую из заряженных плоскости, нити и точечного заряда q, помещенного в их поле. На заряд, помещенный в электрическое поле с напряженностью , действует сила `F (1.3):  
F -?  

` (1.28)

Найдем напряженность поля, создаваемого плоскостью и нитью. Согласно принципу суперпозиции (1.6):

 

(1.29)

где - напряженность поля плоскости, - напряженность поля нити;

 

(1.30)

Направление векторов покажем на рис.1.4. Так как векторы и перпендикулярны, то Е= или с учетом (1.30)

 

.

 

 
 


пл

τ

r

 

Рис.1.4

 

Тогда сила, действующая на заряд, согласно (1.28):

 

 

После подстановки числовых значений получим: F =289 мкН.

Направление силы задаётся углом a к заряженной плоскости (см. рис.1.4.):

откуда 51º 34'.

 

Ответ: =289 мкН, направлена под углом =51º 34' к заряженной плоскости.

 

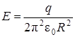
Задача 5. Найти напряженность электрического поля в центре полукольца радиусом R=5см, по которому равномерно распределен заряд q=3× 10-9Кл.

 

Дано: R=5см q=3× 10-9Кл   0, 05м Решение. Физическую систему составляют: заряженное полукольцо и электрическое поле заряда q этого заряда. Для определения напряженности воспользуемся принципом суперпозиции. Разделим полукольцо на малые элементы ду-
 

ги dl так, чтобы заряд dq = tdl / (π R) каждой такой дуги можно было считать точечным. Для равномерного распределения заряда t - линейная плотность заряда полукольца:

(1.31)

Выберем два произвольных симметрично расположенных относительно 00' элемента дуги (рис. 1.5). Напряженности электрического поля в точке 0, создаваемые выбранными элементами d и d согласно принципу суперпозиции

 

d = d + d .

 

Рис.1.5

Из соображений симметрии следует, что алгебраическая сумма проекций напряженности поля выбранных элементов на ось Оy равна нулю. Результирующее поле направлено вдоль оси Ох:

 

Так как то Положение точечного заряда на полукольце определяется углом α. Поэтому угол α и выберем в качестве переменной интегрирования:

 

Подставив численные значения величин, получим Е = 6, 88· 103 В/м.

 

Ответ: = 6, 88· 103 В/м.

 

Задача 6. Покажите и рассчитайте поле равномерно заряженной бесконечной плоскости.

 

Поле равномерно заряженной бесконечной плоскости. Бесконечная плоскость (рис. 1.17) заряжена с постоянной поверхностной плотностью + ( - заряд, приходящийся на единицу поверхности).

Рис. 1.17

 

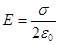
Линии напряженности перпендикулярны рассматриваемой плоскости и направлены от нее в обе стороны. В качестве замкнутой поверхности мысленно построим цилиндр, основания которого параллельны заряженной плоскости, а ось перпендикулярна ей. Так как образующие цилиндра параллельны линиям напряженности (угол между векторами и 1 равен 900, cos900=0), то поток вектора напряженности сквозь боковую поверхность цилиндра равен нулю, а полный поток сквозь цилиндр равен сумме потоков сквозь его основания (площади оснований равны и для основания Еn совпадает с Е cos00=1 ), т. е. равен 2ЕS. Заряд, заключенный внутри построенной цилиндрической поверхности, равен . Согласно теореме Гаусса, , откуда

(1.21)

 

Из формулы вытекает, что Е не зависит от длины цилиндра, т. е. напряженность поля на любых расстояниях одинакова по модулю, иными словами, поле равномерно заряженной плоскости равномерно.

Ответ: поле равномерно заряженной бесконечной плоскости равно .

Задача 7. Покажите и рассчитайте поле двух бесконечных параллельных разноименно заряженных плоскостей.

Поле двух бесконечных параллельных разноименно заряженных плоскостей. Пусть плоскости заряжены равномерно разноименными зарядами с поверхностными плотностями и . Поле таких плоскостей найдем как суперпозицию плоскостей, создаваемых каждой из плоскостей в отдельности.

 

 

На рисунке 1.18 сплошные стрелки соответствуют полю от положительно заряженной плоскости, пунктирные – от отрицательной плоскости. Слева и справа от плоскостей областей I и III поля вычитаются (линии напряженности направлены навстречу друг другу), поэтому здесь напряженность поля Е=0. В области II между плоскостями Е=Е+-, поэтому результирующая напряженность

(1.22)

 

Рис. 1.18

Ответ: поле двух бесконечных параллельных разноименно заряженных плоскостей равно .


Поделиться с друзьями:

mylektsii.su - Мои Лекции - 2015-2026 год. (1.052 сек.)Все материалы представленные на сайте исключительно с целью ознакомления читателями и не преследуют коммерческих целей или нарушение авторских прав Пожаловаться на материал