Студопедия

Главная страница Случайная страница

КАТЕГОРИИ:

АвтомобилиАстрономияБиологияГеографияДом и садДругие языкиДругоеИнформатикаИсторияКультураЛитератураЛогикаМатематикаМедицинаМеталлургияМеханикаОбразованиеОхрана трудаПедагогикаПолитикаПравоПсихологияРелигияРиторикаСоциологияСпортСтроительствоТехнологияТуризмФизикаФилософияФинансыХимияЧерчениеЭкологияЭкономикаЭлектроника






Примеры решения задач. Задача 1.Положительные заряды q1 = 2мкКл и q2 = 10мкКл находятся в вакууме на расстоянии 1м друг от друга






Задача 1. Положительные заряды q 1 = 2мкКл и q 2 = 10мкКл находятся в вакууме на расстоянии 1м друг от друга. Определить работу, которую совершат силы отталкивания при удалении заряда q2 на расстояние 10м от заряда q1.

Дано: q 1= 2мкКл q 2 = 10мкКл r 1 = 1м r 2 = 10м   2× 10-6Кл 10-5 Кл Решение. Рассмотрим физическую систему состоящую из двух зарядов q 1 и q 2 и их поля. Будем считать заряд q 1 неподвижным. Заряд q 2 под действием поля заряда q 1 перемещается из точки В в точку С.  
А -?  

Расстояние от точки В до заряда q 1 равно r 1, потенциал поля в этой точке j1. Расстояние от заряда q 1 до точки С равно r 2, потенциал поля в точке С равен j2. Тогда работа совершаемая при перемещении заряда q 2 из точки В в точку С равна (2.7):

 

A = q 2(j1 -j2). (2.8)

 

где j1 и j2 в соответствии с (2.2):

. (2.9)

 

Подставим (2.3) в (2.2):

 

. (2.10)

После подстановки числовых значений получили: А = 0, 162 Дж.

Ответ: =0, 162 Дж.

Задача 2. Найти работу поля по перемещению заряда q = 10 нКл из точки 1 в точку 2 (рис. 2.2), находящиеся между двумя разноименно заряженными с поверхностной плотностью s =0, 4мкКл/м2 бесконечными параллельными плоскостями, расстояние между которыми равно 3см.

Дано: q = 10 нКл s =0, 4 мкКл/м2 l = 3 см   109 Кл 4·10-7 Кл/м2 0, 03 м Решение. Решим задачу двумя способами.
А -?

 

 

 

 

Рис.2.2

 

1-й способ. Работу сил поля по перемещению заряда q из точки 1 с потенциалом j1 в точку 2 с потенциалом j2 найдем по формуле (2.7):

 

A = q (j1 -j2). (2.11)

 

Разность потенциалов j1 -j2 найдем из (2.6):

 

. (2.12)

Поле между двумя равномерно заряженными параллельными плоскостями однородно и его напряженность равна:

. (2.13)

Подставим (2.13) в (2.12) и после интегрирования получим (см. рис.2.2):

. (2.14)

 

Тогда работа будет определяться выражением:

(2.15)

2-й способ. При перемещении тела под действием силы ` F совершается работа:

. (2.16)

Сила, действующая на заряд в электрическом поле с напряженностью (2.13), будет равна:

(2.17)

Подставим (2.17) в (2.16) и проинтегрируем:

(2.18)

Оба решения приводят к одному и тому же результату. После подстановки в (2.18) числовых значений получим: А = 13, 6 мкДж.

Ответ: мкДж.

Задача 3. Найти потенциал в центре кольца, по которому равномерно распределен заряд с линейной плотностью t.

 

Дано: t Решение. Физическую систему составляют равномерно заряженное кольцо и электрическое поле этого заряда. Для определения потенциала j в центре полукольца воспользуемся
j -?

принципом суперпозиции. Разделим полукольцо на малые элементы дуги dl так, чтобы заряд dq = t dl каждого такого элемента можно было считать точечным (см. рис.2.3). Тогда потенциал поля, создаваемого зарядом dq, будет равен (2.2):

. (2.19)

 

Согласно принципу суперпозиции потенциал в центре полукольца определяется алгебраической суммой потенциалов d j элементарных зарядов:

 

 


 

 

Рис.2.3

Ответ:

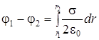
Задача 4. Поле образовано бесконечной равномерно заряженной плоскостью с поверхностной плотностью заряда s = 4× 10-8Кл/м2. Определить разность потенциалов двух точек поля, стоящих от плоскости на r 1 = 10см и r 2 = 20см (рис 2.4).

Дано: s = 4× 10-8Кл/м2 r 1 = 10см r 2 = 20см     0, 1м 0, 2 м Решение. Физическую систему составляют бесконечная равномерно 0, 2м заряженная плоскость и созданное ней электрическое поле. Для определения разности потенциалов используем связь напряженности и потенциала (2.6):  
(j1-j2) -?

 

 

Рис. 2.4

. (2.20)

 

Так как точки 1и 2 расположены на одной силовой линии cos 0 =1. Следовательно, с учетом (1.10) Е = s/2e°, получим:

,

или после интегрирования

. (2.21

После подстановки числовых значений получим: j1-j2 =225 В.

 

Ответ: =225 В.

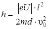
Задача 5. Электрон движется в плоском горизонтально расположенном конденсаторе параллельно его пластинам со скоростью υ = 4× 107м/с. Разность потенциалов на пластинах конденсатора U = 4кВ, расстояние между пластинами d = 4см, длина пластин конденсатора l = 20см. На какое расстояние сместится электрон в вертикальном направлении под действием электрического поля во время его движения в конденсаторе.

Дано: υ = 4 × 107 м/с U = 4000 В d = 4× 10-2 м l = 0, 2 м Решение. Рассмотрим движение электрона между пластинами конденсатора (см. рис.2.5). Электрон будет двигаться под действием двух сил: силы тяжести m и электрической силы` Fэл = е . Можно заметить, что ½ mg ½ < < ½ еЕ ½, т.к. mэл =9, 1× 10-31 кг, а е = -16× 10-19 Кл.
h -?

 

Поэтому действием силы тяжести в данном случае можно пренебречь. Согласно второму закону Ньютона запишем:

m = e . (2.22)

 

Выберем ось x так, чтобы она была параллельна пластинам конденсатора, а y – перпендикулярна (см. рис.2.5). Выражение (2.22) в проекциях на ось y будет иметь вид:

ma = | eE |(2.23)

 

                                   
               
 
   
 

 


О

             
   
 
 
   
 
   
 

 

 


Рис. 2.5

 

Напряженность поля внутри конденсатора связана с разностью потенциалов, как следует из (2.6), выражением:

 

U = Ed (2.24)

Из (2.23) и (2.24) найдем а = ау:

.(2.25)

Так как ускорение электрона постоянное, его перемещение будет равно:

, (2.26)

или в проекциях на оси Ох и Оу соответственно:

. (2.27)

Решим уравнение (2.27) с учетом (2.25):

. (2.28)

Подставим в (2.28) числовые значения и получим:

Ответ: .

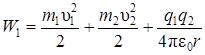
Задача 6. Два одноименных точечных заряда q 1 и q 2 с массами m 1 и m 2 движутся на встречу друг другу. Когда расстояние между ними равно r 1, их скорости равны υ 1 и υ 2. До какого минимального расстояния r min сблизятся заряды?

Дано: q 1 q 2 m 1 m 2 r 1 υ 1 υ 2 Решение. Рассмотрим замкнутую физическую систему состоящую из двух электрических зарядов q 1 u q 2. По закону сохранения энергии энергия системы W 1 в момент, когда заряды находились на расстоянии r, должна быть равна энергии W 2 в момент максимального сближения зарядов. В этот момент времени заряды в следствие действия электрических сил отталкивания остановятся, их кинетическая энергия будет равна нулю. В начальный момент, когда заряды двигались со скоростями υ 1 и υ 2, энергия системы складывалась из кинетической энергии W и потенциальной энергии взаимодействия зарядов (2.4):
r min-?

Следовательно:

. (2.29)

В момент, когда расстояние между зарядами стало r min, энергия системы представляла собой только потенциальную энергию взаимодействия зарядов:

, (2.30)

т.к. W 1= W 2, получим, приравняв (2.29) и (2.30) и выразив r min:

.

Ответ:

Задача 7. Электрическое поле создано длинным цилиндром радиусом R =1см, равномерно заряженным с линейной плотностью t =20нКл/м. Определить разность потенциалов двух точек этого поля, находящихся на расстояниях а 1 =0, 5см и а 2 = 2см от поверхности цилиндра, в средней его части.

Дано: R =1см t =20нКл/м а 1 =0, 5см а 2 = 2см   10-3 м 2·10-8 Кл 5·10-3 м 2·10-2 м Решение. Рассмотрим физическую систему, состоящую из заряженного цилиндра и создаваемого им поля. Для определения разности потенциалов используем соотношение (2.12):    
  (j1-j2) -?

, (2.31

т.к. цилиндр длинный и точки взяты вблизи его средней части, то напряженность поля в этих точках будет близка к напряженности поля, создаваемого равномерно заряженной бесконечной прямой нитью (1.11):

. (2.32)

Считая точки, в которых ищем потенциал, расположенными вдоль одной силовой линии из (2.31) и (2.32) получим:

 

. (2.33)

После интегрирования, с учетом того, что r 1= R+a 1 и r 2= R+a 2, будем иметь:

.

После подстановки числовых значений получим: j1-j2 = 250 В.

Ответ: = 250 В.

Задача 8. Найдите электроёмкость батареи конденсаторов, изображённой на рис.3.1.

 

Рис. 3.1. Рис.3.2

 

Дано: С 1 С 2 Решение. Рассмотрим физическую систему, состоящую из пяти конденсаторов, соединенных в батарею. Вследствие симметрии цепи потенциалы точек А и В (рис.3.1) одинаковы, т.е. напряжение на конденсаторе С2 будет равно нулю: . Значит, конденсатор С2 не
С -?

заряжен, и можно считать, что между точками А и В участок отсутствует (разрыв цепи). Эквивалентная цепь изображена на рис.3.2. В этом случае конденсаторы на участках MAN и MBN соединены последовательно, а сами участки соединены параллельно. Определим электроёмкости участков MAN и MBN, они равны между собой и определяются согласно (3.6):

 

.

Отсюда получим:

. (3.10)

Для параллельно соединенных участков с электроёмкостями , используя (3.5) и (3.10) получим:

Ответ: С=С 1.

 

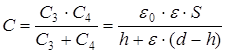
Задача 9. Пространство между обкладками конденсатора частично заполнено диэлектриком с диэлектрической проницаемостью . Площадь пластины равна S. Найдите электроёмкость конденсатора для случаев, показанных на рис. 3.3 а, б.

 

Дано: ε S L d l h Решение.   Рис. 3.3
С -?

 

Физическая система состоит из конденсатора, частично заполненного диэлектриком. Рассмотрим случай, показанный на рис. 3.3-а. Данный конденсатор можно рассматривать как систему двух параллельно соединенных конденсаторов с электроемкостью С1 и С2 (см рис 3.4). Для параллельного соединения конденсаторов электроемкость определяется выражением (3.5)

 

 

Рис 3.4

 

Определим С 1 и С 2 в соответствии с (3.3)

, (3.11)

, (3.12)

здесь S1 - площадь обкладок конденсатора С1, S2 - площадь обкладок конденсатора С2.

По условиям задачи на рис 3.3.а площадь обкладок равна S=Lb, где b – ширина пластин, b=S/L. Найдем S 1 и S 2:

, (3.13)

 

(3.14)

Подставим (3.13) и (3.14) в (3.11) и (3.12)

(3.15)

 

(3.16)

 

В случае, показанном на рис 3.3.б, конденсатор можно рассматривать как систему двух последовательно соединенных конденсаторов (см. рис 3.5) с электроемкостями С 3 и С 4:

 

Рис 3.5     (3.17)   (3.18)

 

При последовательном соединении (3.6) электроемкость батареи находится из выражения:

(3.19)

Из (3.19) с учетом (3.17) и (3.18) получим:

Ответ: а) ; б) .

Задача 10. Конденсатор электроёмкостью С 1 =3мкФ был заряжен до разности потенциалов U 1 =40В. После отключения от источника тока конденсатор был соединен параллельно с другим конденсатором Электроёмкостью С 2 =5мкФ. Определить энергию , израсходованную на образование искры в момент присоединения второго конденсатора.

Дано: С 1 = 3 мкФ C 2 = 5 мкФ U 1 = 40 B     Решение. Физическая система состоит из двух конденсаторов. Из закона сохранения энергии следует, что энергия, израсходованная на образование искры равна: , (3.34) где WН начальная энергия физической системы, WК

конечная энергия этой системы после образования искры.

Начальная энергия – это энергия заряженного конденсатора из (3.7):

. (3.35)

После соединения конденсаторов в батарею энергия системы будет равна:

. (3.36)

где (см. (3.5)) – электроемкость батареи, - напряжение на батарее.

С учетом (3.35), (3.36) и (3.34) получим:

(3.37)

Из закона сохранения заряда следует, что после присоединения второго конденсатора заряд остался прежним. Выразим разность потенциалов из (3.2):

. (3.38)

Подставим (3.38) в (3.37):

,

или после преобразований:

(3.39)

Подставим в (3.39) числовые значения:

 


Поделиться с друзьями:

mylektsii.su - Мои Лекции - 2015-2026 год. (1.193 сек.)Все материалы представленные на сайте исключительно с целью ознакомления читателями и не преследуют коммерческих целей или нарушение авторских прав Пожаловаться на материал