Студопедия

Главная страница Случайная страница

КАТЕГОРИИ:

АвтомобилиАстрономияБиологияГеографияДом и садДругие языкиДругоеИнформатикаИсторияКультураЛитератураЛогикаМатематикаМедицинаМеталлургияМеханикаОбразованиеОхрана трудаПедагогикаПолитикаПравоПсихологияРелигияРиторикаСоциологияСпортСтроительствоТехнологияТуризмФизикаФилософияФинансыХимияЧерчениеЭкологияЭкономикаЭлектроника






С. Задача






 

Построить эпюры внутренних усилий для статически неопределимой системы методом сил.

 

 

Статически неопределимая система

 

1) Определяем степень статической неопределимости системы и строим основную систему:

1.1) Определяем степень статической неопределимости системы:

 

 

1.2) Выбираем основную систему (ОС):

Возможные следующие варианты основной системы:

 

 

Варианты основной системы

 

Выбираем наиболее простую для построения эпюр изгибающих моментов:

 

 

Основная система для расчета методом сил

 

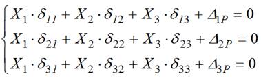
2) Составляем систему канонических уравнений:

 

 

3) Строим эпюру Мр (грузовую эпюру):

 

 

Грузовая эпюра

 

4) Строим эпюры изгибающих моментов от единичных сил:

 

 

 

Единичные эпюры

 

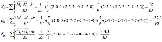
5) Определяем главные коэффициенты:

 

 

6) Определяем боковые коэффициенты:

 

 

7) Определяем свободные коэффициенты:

 

8) Преобразуем систему канонических уравнений:

 

 

9) Решаем систему канонических уравнений матричным методом:

 

 

10) Умножаем каждую единичную эпюру на соответствующее значение силы X

 

 

 

 

Эпюры изгибающих моментов от искомых усилий

 

12) Строим итоговую эпюру М= М123+Мр:

 

 

Итоговая эпюра изгибающих моментов

 

13) Строим эпюры поперечных сил (Q) и продольных сил (N):

1) Строим эпюру Q:

 

 

 

Эпюра поперечных сил

 

I.2) Строим эпюру N:

 

 

Эпюра продольных сил

 

 


Поделиться с друзьями:

mylektsii.su - Мои Лекции - 2015-2026 год. (1.557 сек.)Все материалы представленные на сайте исключительно с целью ознакомления читателями и не преследуют коммерческих целей или нарушение авторских прав Пожаловаться на материал