Студопедия

Главная страница Случайная страница

КАТЕГОРИИ:

АвтомобилиАстрономияБиологияГеографияДом и садДругие языкиДругоеИнформатикаИсторияКультураЛитератураЛогикаМатематикаМедицинаМеталлургияМеханикаОбразованиеОхрана трудаПедагогикаПолитикаПравоПсихологияРелигияРиторикаСоциологияСпортСтроительствоТехнологияТуризмФизикаФилософияФинансыХимияЧерчениеЭкологияЭкономикаЭлектроника






Способы описания поведения автоматов






1. На основе функций переходов и выходов

Поведение автомата полностью определено, если заданы множества X, Y, Q, и функции - δ и λ:

δ: Q х X → Q, функция перехода. λ: Q х X → Y, функция выхода

 

где Q - множество состояний автомата; X - множество входных сигналов; Y - множество выходных сигналов; δ - функция переходов в следующее состояние; λ - функция выходов.

Функции δ и λ есть декартово произведение множеств Q на X

Фунции переходов определяет новое состояние в которое переходит автомат под действием сигнала I из состояния Q

Функция выходов определяет выходное воздействие автоматов под действием выходного сигнала I

Ii х Qi → Yi,

Разновидностью функций является секвинциальные последовательности

Секвенция – означает следование некоторый шаг. xi+qi → qi+1

2 Таблица переходов – способ представления автоматов. Таблица переходов - двухвходовая таблица, строки которой отме­чены входными сигналами, а столбцы - состояниями автомата. На пере­сечении строки, отмеченной сигналом х, и столбца, отмеченного состоянием q, записывают состояние (qt, xt) = qt + l, в которое автомат переходит из состояния q под воздействием сигнала х

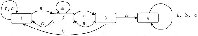
Например, пусть заданы множества X = {а, b, с} и Q = {1, 2, 3, 4}. Тогда таблице переходов некоторого автомата может соответствовать табл. 1.

Таблица 1. Представление автомата в виде таблицы переходов.

         
a:        
b:        
c:        

В данном примере переход δ (а, 2) = 2; δ (c, 4) = 4, и так далее. Такие переходы соответствуют единичным (символьным) воздействиям. Иногда рассматривают цепочку воздействий, или строковые воздействия. Для автомата, поведение которого задано табл. 1, возможны следующие цепочки воздействий: δ (bc, 2) = 4; δ (bbb, 3) = 1. Первую функцию переходов определяют такие единичные воздействия: δ (b, 2) = 3; δ (с, 3) = 4, вторую - δ (b, 3) = l; δ (b, l) = l; δ (b, l) = l.

3.Диаграмма переходов.Представление автомата в виде ориентированного графа - множест­ва узлов (или вершин), связанных в определенном порядке ребрами (дугами), - является более наглядным. При этом вершины соответству­ют состояниям автомата, а ребра - входным сигналам. Такое представ­ление также называют диаграммой переходов.Например, таблица переходов (табл. 1) будет представлена в виде диаграммы переходов так, как показано на рис. 1.

Рис1. Представление автомата в виде направленного графа (диаграммы переходов).

Недостатками представления автомата в форме диаграммы переходов является отсутствие … полноты контроля автоматов

 


Поделиться с друзьями:

mylektsii.su - Мои Лекции - 2015-2026 год. (1.352 сек.)Все материалы представленные на сайте исключительно с целью ознакомления читателями и не преследуют коммерческих целей или нарушение авторских прав Пожаловаться на материал