Студопедия

Главная страница Случайная страница

КАТЕГОРИИ:

АвтомобилиАстрономияБиологияГеографияДом и садДругие языкиДругоеИнформатикаИсторияКультураЛитератураЛогикаМатематикаМедицинаМеталлургияМеханикаОбразованиеОхрана трудаПедагогикаПолитикаПравоПсихологияРелигияРиторикаСоциологияСпортСтроительствоТехнологияТуризмФизикаФилософияФинансыХимияЧерчениеЭкологияЭкономикаЭлектроника






Билет 2.






2.1.Приведение статистических моментов и моментов инерции к валу электродвигателя. Обычно между двигателем и нагрузкой находится какая-либо механическая передача т.е. имеется несколько различных валов со своими моментами и скоростями. Для сведения любой реальной системы к простейшей модели нужно выполнить ряд операций, называемых приведением моментов и моментов инерции к некоторому выбранному в качестве основного валу, обычно - к валу двигателя. Иными словами, некоторую реальную механическую систему, например, показанную на верхнем рисунке, нужно заметить эквивалентной системой на нижнем рисунке такой, чтобы эта замена не отразилась на поведении части системы, оставленной неизм-ой (двигателя)

 

Примем следующие допущения: система жесткая, без зазоров; моменты инерции, относящиеся к основным валам, неизменны, относящиеся к промежуточным валам, если такие есть, равны нулю;

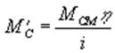
отношение i=ω /ω M и КПД передачи µ - постоянны.

В реальной и приведенной системах должны остаться неизменной мощность, развиваемая двигателем Mω, т.е. в нашем случае, когда потери покрываются двигателем (М и ω направлены согласно):

, откуда Потери всегда покрываются той частью системы, которая создает движение, поэтому при обратном потоке мощности - от нагрузки к двигателю

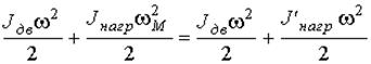
В реальной и приведенной системах должны быть одинаковы запасы кинетической энергии, т.е.

или

Здесь в целях упрощения мы не учли потери в передачах; это обычно не приводит к большим погрешностям, если динамические режимы не играют определяющую роль в работе привода.

 

 


Поделиться с друзьями:

mylektsii.su - Мои Лекции - 2015-2026 год. (0.984 сек.)Все материалы представленные на сайте исключительно с целью ознакомления читателями и не преследуют коммерческих целей или нарушение авторских прав Пожаловаться на материал