Студопедия

Главная страница Случайная страница

КАТЕГОРИИ:

АвтомобилиАстрономияБиологияГеографияДом и садДругие языкиДругоеИнформатикаИсторияКультураЛитератураЛогикаМатематикаМедицинаМеталлургияМеханикаОбразованиеОхрана трудаПедагогикаПолитикаПравоПсихологияРелигияРиторикаСоциологияСпортСтроительствоТехнологияТуризмФизикаФилософияФинансыХимияЧерчениеЭкологияЭкономикаЭлектроника






Решение систем линейных уравнений






Рассмотрим систему n линейных алгебраических уравнений относительно неизвестных х1, х2, …, хn:

a11x1 + a12 x2 + … +a1n xn =b1

a21x1 + a22 x2 + … +a2n xn =b2

……

an1x1 + an2 x2 + … +ann xn =bn

Рассмотренная система линейных уравнений может быть записана в матричном виде: A· X=B, где:

Матрица А называется матрицей системы; столбец B, элементами которой являются правые части уравнений системы, называется правой частью системы. Столбец Х называется решением системы.

Если матрица А − неособенная (det A 0), то система имеет единственное решение, определяемое как:

X=A-1 · B.

Решение системы линейных уравнений может быть получено и с помощью встроенной функции lsolve(А, B). Она возвращает вектор решений B.

Варианты заданий

1. Решить трансцендентное уравнение.

2. Решить уравнение в символьном виде.


3. Решить систему линейных уравнений.

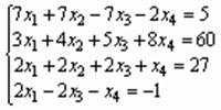
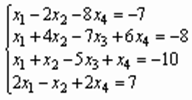
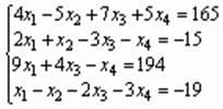
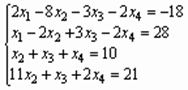
Вариант Система линейных уравнений Вариант Система линейных уравнений
   
   
   
   
   
   
   
     

Контрольные вопросы

1. Как находится начальное приближение для решения трансцендентного уравнения?

2. Какие функции для решения одного уравнения в MathCad вы знаете? В чем их отличие?

3. Как решать матричные уравнения?

4. Как решать алгебраические уравнения?

5. Для чего используется оператор Solve?

6. Как формируется вектор полинома при решении алгебраического уравнения?

ЛИТЕРАТУРА

1. Макаров Е.Г. Инженерные расчеты в MathCad 14 / Е.Г. Макаров. М.; СПб.: Питер, 2007. 592 с.

2. Измайлов Г. К. Информатика. Пакет MathCad: Лаб. практикум / Г. К. Измайлов. СПб.: СПбГТУ, 2001. 74 с.

3. Дьяконов В. MathCad 8-12 для студентов / В. Дьяконов. М.: СОЛОН-Пресс, 2005. 831 с.

СОДЕРЖАНИЕ

1. ВВЕДЕНИЕ.. 2

2. ИНТЕРФЕЙС ПОЛЬЗОВАТЕЛЯ.. 3

Варианты заданий. 6

Контрольные вопросы.. 6

3. ОСНОВЫ РАБОТЫ С MATHCAD.. 6

Варианты заданий. 9

Контрольные вопросы.. 11

4. РАБОТА С МАССИВАМИ.. 11

Варианты заданий. 12

Контрольные вопросы.. 13

5. ПОСТРОЕНИЕ ГРАФИКОВ.. 13

Варианты заданий. 15

Контрольные вопросы.. 16

6. РЕШЕНИЕ УРАВНЕНИЙ.. 16

6.1. Решение алгебраического уравнения. 16

6.2. Решение трансцендентного уравнения. 17

6.3. Решение систем линейных уравнений. 17

Варианты заданий. 18

Контрольные вопросы.. 19

ЛИТЕРАТУРА.. 20

 


Поделиться с друзьями:

mylektsii.su - Мои Лекции - 2015-2026 год. (1.542 сек.)Все материалы представленные на сайте исключительно с целью ознакомления читателями и не преследуют коммерческих целей или нарушение авторских прав Пожаловаться на материал