Студопедия

Главная страница Случайная страница

КАТЕГОРИИ:

АвтомобилиАстрономияБиологияГеографияДом и садДругие языкиДругоеИнформатикаИсторияКультураЛитератураЛогикаМатематикаМедицинаМеталлургияМеханикаОбразованиеОхрана трудаПедагогикаПолитикаПравоПсихологияРелигияРиторикаСоциологияСпортСтроительствоТехнологияТуризмФизикаФилософияФинансыХимияЧерчениеЭкологияЭкономикаЭлектроника






Модель напряжений Рейнольдса (RSM)






Точное уравнение модели напряжений Рейнольдса может быть записано так

Для членов Сi, j, DLi, j, Pi, j и Fi, j не требуется никаких моделей, однако, для Gi, j, DLi, j, fi, j и ei, j необходимы замыкающие уравнения.

Перенос турбулентной диффузии должен определяется по уравнению Дали и Харлоу

Но это уравнению может приводить к развитию численной неустойчивости, поэтому оно упрощено

Для турбулентной вязкости формула будет записана ниже.

sk = 0.82, что отличается от значения принятого в моделях k-e, где sk = 1.

 

Сжатие-растяжение.

Это процесс обмена энергией вследствие корреляции между пульсациями давления и напряжения трения. По умолчанию во Fluent применяется предложенная Гибсоном и Лаундером модель сжатия-растяжения

Где fij1 член, характеризующий медленное сжатие-растяжение, fij2 называется быстрым сжатием-растяжением, fijw – отражение от стенки.

Для этих членов используют формулы

C1 = 1.18

C2 = 0.6, P=0.5Pkk, G=0.5Gkk, C=0.5Ckk.

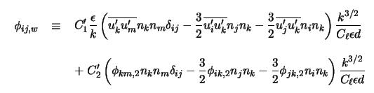
Член отражения от стенки отвечает за перераспределение напряжений вблизи стенки. Он6 стремится ослабить напряжения, действующие по нормали к стенке и усилить напряжения касательные

С¢ 1 = 0.5, С¢ 2 = 0.3, d – расстояние до стенки по нормали, Cl = (Cm)3/4/k, Cm = 0.09, k = 0, 42 – константа Кармана.

 

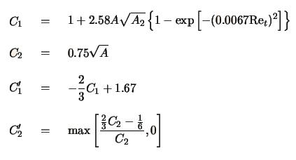
Существуют модификации модели сжатия-растяжения. Когда RSM применяется вблизи стенки с использованием EWT, модель сжатия-растяжения нуждается в модификации. Эта модификация касается значений С1, С2, С¢ 1, С¢ 2, которые вычисляются

Турбулентное число Рейнольдса определяют как Ret = rk2/(me).

aij – тензор анизотропии ренольдсовых напряжений

Эта модификация используется только с EWT.

 

Квадратичная модель сжатия-растяжения. Эта модель может демонстрировать превосходство для ряда базовых течений, включая плоское растяжение, плоские деформации вращения, осесимметричное расширение-сужение. Все это повышает точность и может быть предпочтительным для ряда сложных инженерных приложений, особенно с большой кривизной линий тока.

 


Поделиться с друзьями:

mylektsii.su - Мои Лекции - 2015-2026 год. (1.103 сек.)Все материалы представленные на сайте исключительно с целью ознакомления читателями и не преследуют коммерческих целей или нарушение авторских прав Пожаловаться на материал