Студопедия

Главная страница Случайная страница

КАТЕГОРИИ:

АвтомобилиАстрономияБиологияГеографияДом и садДругие языкиДругоеИнформатикаИсторияКультураЛитератураЛогикаМатематикаМедицинаМеталлургияМеханикаОбразованиеОхрана трудаПедагогикаПолитикаПравоПсихологияРелигияРиторикаСоциологияСпортСтроительствоТехнологияТуризмФизикаФилософияФинансыХимияЧерчениеЭкологияЭкономикаЭлектроника






Уравнения переноса стандартной k-w модели.






Кинетической энергии турбулентности, k и удельной скорости диссипации, w определяются из следующих уравнений

 

В этих уравнениях Gk представляет собой генерацию кинетической энергии турбулентности градиентами осредненного течения, а Gw – генерацию w. Гk, Гw - эффективную диффузию k и w, Yk, Yw - диссипацию k и w под воздействием турбулентности, Sk, Sw - источниковые члены, определяемые пользователем.

Уравнения эффективной диффузии.

Эффективная диффузия определяется по уравнениям

,

Где st, sw - турбулентные числа Прандтля для k и w. Турбулентная вязкость mt рассчитывается по известным k и w

Коррекция для низких чисел Рейнольдса.

Коэффициент a* снижает турбулентную вязкость при низких числах Рейнольдса. Его вычисляют по формуле

Где

Ret = rk/(mw),

Rk = 6

a0* = bi/3

bi = 0, 072.

При высоких числах Рейнольдса a* = a¥ *=1.

Генерация турбулентности

Член Gk представляет собой генерацию кинетической энергии турбулентности градиентами осредненного течения. Из точного уравнения для переноса k этот член может быть определен как

В соответствии с гипотезой Буссинеска Gk определяют

Где S – модуль тензора скорости деформации осредненного течения.

Генерация w.

Генерацию w определяют как

Коэффициент a находят из уравнения

Где Rw = 2.95, а Ret определено выше. Для больших чисел Рейнольдса a = a¥ =1.

Турбулентная диссипация.

Диссипация k

где

z* = 1, 5

Rb = 8

b¥ * = 0.09

Диссипация w определяется из уравнения

где

Тензор скоростей деформаций сдвига определяется как ранее

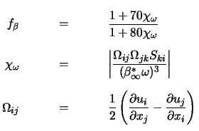
Кроме того,

 

Коррекция на сжимаемость.

Учет сжимаемости производится функцией

где

Для высоких чисел Рейнольдса bi* = b¥ *, а в несжимаемом течении b* = bi*.

Константы модели.

Граничные условия на стенке.

Граничные условия на стенке для k в k-w модели определяются тем же путем, что и для усовершенствованной пристеночной процедуры в k-e модели. Тем самым полагается, что все граничные условия для пристеночной сетки будут приемлемыми на мелких сетках при низких числах Рейнольдса.

В алгоритмах Fluent’а принято

Где,

Логарифмическая, или турбулентная область для w+ определяется формулой

Из которой получается пристеночное значение w

Если граничная ячейка располагается в буферной области, Fluent определяет w+ смешивая ее значения для логарифмической и вязкой областей.

 


Поделиться с друзьями:

mylektsii.su - Мои Лекции - 2015-2026 год. (0.854 сек.)Все материалы представленные на сайте исключительно с целью ознакомления читателями и не преследуют коммерческих целей или нарушение авторских прав Пожаловаться на материал