Студопедия

Главная страница Случайная страница

КАТЕГОРИИ:

АвтомобилиАстрономияБиологияГеографияДом и садДругие языкиДругоеИнформатикаИсторияКультураЛитератураЛогикаМатематикаМедицинаМеталлургияМеханикаОбразованиеОхрана трудаПедагогикаПолитикаПравоПсихологияРелигияРиторикаСоциологияСпортСтроительствоТехнологияТуризмФизикаФилософияФинансыХимияЧерчениеЭкологияЭкономикаЭлектроника






Модель переноса сдвиговых напряжений (SST k-w).






Главные отличия SST и стандартной моделей заключаются в следующем:

- последовательное изменение от стандартной k-w для внутреннего течения в пограничном слое до высокорейнольдсовой k-e модели для внешней области пограничного слоя;

- модифицированная формула турбулентной вязкости для учета эффектов переноса главного турбулентного сдвигового напряжения, что и послужило поводом для названия этой модели. Благодаря этому SST модель обладает определенными преимуществами по сравнению, как со стандартной k-w, так и с k-e моделями. В других модификациях включены дополнительные члены поперечной диффузии, а также функция сращивания, для того чтобы улучшить поведение модели при переходе от пристеночной области к дальней зоне.

 

Уравнения SST k-w модели.

 

 

Как и в стандартной k-w модели в этих уравнениях Gk представляет собой генерацию кинетической энергии турбулентности градиентами осредненного течения, а Gw – генерацию w. Гk, Гw - эффективную диффузию k и w, Yk, Yw - диссипацию k и w вследствие действия турбулентности, Dw - поперечная диффузия, Sk, Sw - источниковые члены, определяемые пользователем.

Генерация k вычисляется так же, как и в стандартной k-w модели.

Коэффициент эффективной диффузии рассчитывается по тем же формулам, но турбулентная вязкость определяется иначе

где

Wi, j – завихренность осредненного течения, sk, ske - турбулентные числа Прандтля, a* определено ранее.

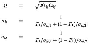
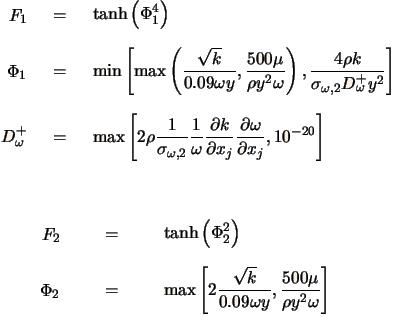
Весовые функции F1 и F2 определяют по формулам

Где у – расстояние до стенки, Dw+ положительная часть члена поперечной диффузии (описан ниже).

В областях интенсивной завихренности например, в пограничных слоях, вязкость вычисляется практически по формуле Брэдшоу, а вдали от стенок завихренность может становиться малой и применение этой формулы приводит к бесконечным значениям вихревой вязкости. Однако, формула сконструирована так, что в основном потоке работает соотношение mt=ra*k/w.

Функции F1 и F2 делают переход от пристеночных областей к внешнему течению плавным. Аргумент Ф2 управляет вихревой вязкостью. Внутри пограничного слоя он представляет собой отношение масштаба турбулентности к расстоянию от стенки и исчезает при приближении к границе логарифмического слоя. Таким образом, функция F22) сконструирована так, что определение вихревой вязкости плавно меняется от вязкого ламинарного подслоя к турбулентному пограничному слою и внешнему течению.

Аргумент Ф1 функции F1 устроен так, чтобы вдали от стенок использовалась стандартная высокорейнольдсовая k-e модель.

Генерация w

Генерация w вычисляется следующим образом

Эта формула отличается от стандартной k-w модели. Различие между двумя моделями заключается также в способе определения a¥ . В стандартной модели a¥ = Const, а в SST k-w

Где

Где k = 0, 41 – константа Кармана, bi, 1, bi, 2 определены ниже.

 

Турбулентная диссипация.

Диссипация k.

Член Yk представляет диссипацию кинетической энергии тубулентности и определяется таким же образом, что и в стандартной k-w модели. Различие заключается в определении fb*. В стандартной модели k-w fb* кусочная функция, а в SST – константа, равная 1. Следовательно,

Диссипация w.

Член Yw, представляющий диссипацию w, определяется таким же образом, что и в стандартной k-w модели. Различие заключается в способе определения bi и fb. В стандартной k-w модели bi константа, а fb переменная. В SST наоборот, fb = 1, следовательно

А вместо постоянной bi определяется выражением

Где

bi, 1 = 0, 075

bi, 2 =0, 0828.

 

Модификация поперечной диффузии.

SST k-w модели базируется на двух моделях –стандартной k-w модели и стандартной k-e. Чтобы объединить эти две модели вместе стандартная k-e модель преобразована в уравнения для k и w, при этом появляется член поперечного диффузионного переноса

 

Константы модели

Дополнительные константы a¥ *, a¥ , a0, b¥ *, Rb, Rk, Rw, z* и Mt0 имеют те же значения, что и в стандартной модели.

 

Модель SST k-w устроена так, что она представляет собой композицию двух моделей k-w и k-e, причем использует их сильные стороны. В пристеночной области лучше работает k-w, а вдали от стенки k-e. Это объединение производится при помощи весовой функции F.

 


Поделиться с друзьями:

mylektsii.su - Мои Лекции - 2015-2026 год. (1.076 сек.)Все материалы представленные на сайте исключительно с целью ознакомления читателями и не преследуют коммерческих целей или нарушение авторских прав Пожаловаться на материал