Студопедия

Главная страница Случайная страница

КАТЕГОРИИ:

АвтомобилиАстрономияБиологияГеографияДом и садДругие языкиДругоеИнформатикаИсторияКультураЛитератураЛогикаМатематикаМедицинаМеталлургияМеханикаОбразованиеОхрана трудаПедагогикаПолитикаПравоПсихологияРелигияРиторикаСоциологияСпортСтроительствоТехнологияТуризмФизикаФилософияФинансыХимияЧерчениеЭкологияЭкономикаЭлектроника






Поляризация электродных процессов и ее причины






Потенциалы электродов, через которые проходит электрический ток, отличаются от потенциалов электродов, не нагруженных током: потенциал анода при прохождении через него тока становится положительнее, а потенциал катода – отрицательнее

где φ а и φ к устанавливающиеся при данном значении тока электродные потенциалы, называются эффективными; ∆ φ а и ∆ φ к – смещение потенциалов анода и катода. Это изменение потенциалов, а следовательно, и их разности, приводящее к уменьшению силы тока, называется поляризацией. Явления поляризации электродов наблюдается как в гальванических элементах, так и в электролизерах, т.е. при прохождении через электроды постоянного электрического тока независимо от его происхождения. Поляризация является следствием отставания электродных процессов от переноса электронов в гальваническом элементе.

Анодный процесс выхода ионов металла в электролит отстает от перетока электронов от анода к катоду, что приводит к уменьшению отрицательного заряда на поверхности электрода и делает потенциал анода положительнее; катодный процесс ассимиляции электронов отстает от поступления на катод электронов, что приводит к увеличению отрицательного заряда на поверхности электрода и делает потенциал катода отрицательнее. Уравнения для скорости электрохимического коррозионного процесса можно в общем виде записать следующим образом:

где R – омическое сопротивление; Р – поляризационное сопротивление.

Различают три основных случая анодной поляризации:

1) Концентрационная поляризация-этот вид анодной поляризации вызывается небольшой скоростью диффузии ионов металла в растворе электролита, из-за чего образуется повышенная концентрация ионов в прианодной зоне: на аноде концентрация ионов растет, на катоде концентрация ионов уменьшается.

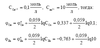
Рассмотрим насколько изменится ∆ Е для стандартных условий, если концентрация ионов изменится в 100 раз.

 

 

2) Перенапряжение ионизации металла.

Если при протекании анодного процесса

выпад ионов металла в раствор не поспевает за отводом электронов, потенциал металла сдвигается в положительную сторону.

3) Анодная пассивность заключается в образовании пассивности пленок на поверхности металла. Анодный процесс резко тормозится из-за анодной пассивности. Этим можно объяснить достаточно высокую коррозионную стойкость алюминия и нержавеющих сталей в растворах азотной кислоты и в аэрированных растворах солей.

Защитные фазовые пленки на аноде могут образовываться как результат отложения на поверхности металла труднорастворимых соединений этого металла.

4) Катодная поляризация.

Эта поляризация обусловливается перенапряжением катодной реакции, т.е. замедленностью процесса:

Кинетику электродных процессов принято изображать в виде поляризационных кривых, представляющих собой графическое изображение зависимости потенциалов электродов φ   от плотности тока i.

Электродная поляризация является функцией плотности тока (чем выше плотность тока, тем больше значение поляризации).

 

Рисунок 3.6.2 – Кривые анодной и катодной поляризации металла

 

На рисунке 3.6.2 приведены кривые анодной и катодной поляризации металла, характеризующие его поведение в качестве анода и катода коррозионного элемента. Степень наклона кривой характеризует большую (крутой ход) или меньшую (пологий ход) затрудненность протекания электродного процесса. Количественно это может быть выражено истинной поляризуемостью процесса при данной плотности тока i1 (в данной точке поляризационной кривой):

или средней поляризуемостью процесса для данного интервала плотности тока (на данном участке поляризационной кривой):

Причины анодной поляризации, т.е. отставания процесса выхода ионов в электролит от перетока электронов с анодных участков на катодные, следующие:

1) Замедленность анодной реакции коррозии металла

которая определяется соответствующим значением энергии активации этой реакции приводит к возникновению электрохимической поляризации называемой перенапряжением ионизации металла.

2) Замедленность диффузии ионов металла от поверхности в объем раствора приводит к концентрационной поляризации анода которая сравнительно невелика, кроме случаев очень большой активности ионов металла у поверхности.

3) Очень большая замедленность анодной реакции ионизации металла имеет место при возникновении анодной пассивности. Анодная поляризация металлов в определенных условиях может облегчать переход металлов в пассивное состояние (образование первичных фазовых или адсорбционных защитных пленок), что сопровождается резким торможением анодного процесса с соответствующим падением плотности тока и значительным смещением потенциала анода в положительную сторону до значений, достаточных для протекания нового анодного процесса, обычно выделения кислорода.

Причиной катодной поляризации, т.е. отставание процесса ассимиляции электронов от поступления на катодные участки электронов, являются:

а) замедленность катодной деполяризационной реакции Д+nе=[Дne], которая определяется соответствующим значением энергии активации этой реакции (Ек) и приводит к возникновению электрохимической поляризации называемой перенапряжением реакции катодной деполяризации;

б) замедленность диффузии деполяризатора из объема электролита к катодной поверхности или продукта катодной деполяризационной реакции в обратном направлении, которая приводит к концентрационной поляризации катода .

 



Поделиться с друзьями:

mylektsii.su - Мои Лекции - 2015-2026 год. (1.122 сек.)Все материалы представленные на сайте исключительно с целью ознакомления читателями и не преследуют коммерческих целей или нарушение авторских прав Пожаловаться на материал