Студопедия

Главная страница Случайная страница

КАТЕГОРИИ:

АвтомобилиАстрономияБиологияГеографияДом и садДругие языкиДругоеИнформатикаИсторияКультураЛитератураЛогикаМатематикаМедицинаМеталлургияМеханикаОбразованиеОхрана трудаПедагогикаПолитикаПравоПсихологияРелигияРиторикаСоциологияСпортСтроительствоТехнологияТуризмФизикаФилософияФинансыХимияЧерчениеЭкологияЭкономикаЭлектроника






Конструкция плиты покрытия






Содержание

1. Расчёт клееной утеплённой плиты покрытия с фанерными обшивками

1.1 Исходные данные для проектирования ………………………………..3

1.2 Конструкция плиты покрытия………………………………………....4

1.3 Определение приведённых геометрических характеристик поперечного сечения плиты………………………………………………...5

1.4 Подсчёт нагрузок на плиту……………………………………………...7

1.5 Расчёт плиты на прочность……………………………………………10

1.6 Расчёт плиты на жёсткость…………………………………………….11

2. Расчёт треугольной металлодеревянной фермы с клеёным верхним поясом покрытия складского здания

2.1 Подбор предварительного сечения колонны…………………………12

2.2 Определение общих размеров фермы………………………………...13

2.3 Выбор сорта древесины, её влажности и расчётных сопротивлений, типа и марки клея…………………………………………………………..14

2.4 Определение нагрузок на ферму………………………………………15

2.5 Определение усилий в элементах фермы…………………………….16

2.6 Подбор сечений деревянных элементов фермы……………………...19

2.7 Выбор марок сталей для стальных элементов фермы, расчетных сопротивлений стали и сварных соединений………………………………….24

2.8 Подбор сечений стальных элементов фермы………………………...25

2.9 Расчет узлов фермы…………………………………………………….27

3. Мероприятия по защите деревянных конструкций от возгорания и гниения…………………………………………………………………………...34

4. Литература…………………………………………………………………….35

 

1. Расчёт клееной утеплённой плиты покрытия с фанерными

Обшивками

Конструкция плиты покрытия

Каркас плиты состоит из пяти продольных рёбер сечением 144´ 56 мм (из досок 150´ 60 мм до острожки) и двух поперечных ребер на торцах плиты. Фанерная обшивка толщиной 8, 0 мм. Сверху на обшивку наклеивается один слой пергамина, с нижней стороны обшивка и ребра окрашиваются эмалью ПФ-115. Поперечное сечение плиты и расчетное приведенное сечение показаны на рис.

l р= l пbопδ =4, 0–0, 055–0, 015 =3, 93 м.

где l п =4, 0 м – номинальная длина плиты;

bоп =0, 055 м – ширина опорной части плиты;

δ =0, 015 м – зазор между торцами плит.

Расчётная ширина плиты определяется в соответствии с п.6.27 [1] в зависимости от шага продольных рёбер и длины плиты l п; в нашем случаи 6∙ а =6∙ 0, 356=2, 136 < l п =4, 0 м, следовательно: bрасч = 0, 9∙ bn =0, 9∙ 1, 48=1, 332 м.

Приведенная ширина продольных ребер равна:

bр.прив. =

nпр = = =1, 11 – коэффициент приведения.

где Едр =1∙ 1010 Па – модуль упругости древесины вдоль волокон;

Еф =0, 9∙ 109 Па – модуль упругости фанеры вдоль волокон;

1.3 Определение приведённых геометрических характеристик поперечного сечения плиты

Приведённая площадь сечения:

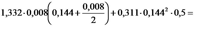
Fпр=bрасч∙ δ ф+bр.пр.∙ hр =1, 332∙ 0, 008+0, 311∙ 0, 144=5, 5∙ 10-2 м².

Приведённый статический момент сечения относительно нижней плоскости плиты:

Sпр=bрасч 4, 8∙ 10-3 м3.

Координата центра тяжести сечения плиты относительно нижней плоскости:

0, 087 м;

hп - y0 = 0, 152– 0, 087 = 0, 065 м

Площади и координаты центров тяжести элементов поперечного сечения плиты относительно нейтральной оси:

- фанерной обшивки:

Fф.=bрасч.∙ δ ф.в .=1, 332 ∙ 0, 008=106, 56 ∙ 10-4 м²

yф.= hп - y0 - = 0, 152 – 0, 087 – = 0, 061 м.

- продольных рёбер:

Fр.пр.=bр.пр.∙ hр =0, 311∙ 0, 144=447, 84∙ 10-4 м²;

yр.= y0 - – δ ф.н.= 0, 087– = 0, 015м.

Приведённые собственные моменты инерции элементов поперечного сечения плиты:

- фанерноей обшивки:

Iф.= 5, 683∙ 10-8 м4

- продольных рёбер:

Iр.пр.= 0, 774∙ 10-4 м4

Приведённый момент инерции сечения плиты:

Iпр.=Iф.+Iр.пр.+Fф.∙ y² ф.+Fр.пр.∙ y² р .= 5, 683∙ 10-8 + 0, 774∙ 10-4 + 106, 56∙ 10-4 ∙ 0, 061² + +447, 84∙ 10-4∙ 0, 015² = 1, 27∙ 10-4 м4.

Приведённый момент сопротивления сечения плиты:

1, 95∙ 10-3 м3.

Приведённый момент сопротивления сечения плиты ребер:

1, 46 ∙ 10-3 м3.

Статический момент верхней обшивки относительно нейтральной оси:

Sф.пр.=Fф.∙ yф. =106, 56∙ 10-4∙ 0, 061 =6, 5∙ 10-4 м3.

Приведённый статический момент верхней сдвигаемой части сечения плиты относительно нейтральной оси:

Sx, пр = bр.пр = 0, 311∙ =1, 18∙ 10-3 м3.

1.4 Подсчёт нагрузок на плиту

Подсчёт нагрузок на плиту производится в соответствии с указаниями [2].

Нормативный вес конструкций или отдельных конструктивных элементов плиты приходящейся на единицу покрытия определяется по формулам:

gсв= ∙ V∙ ρ ∙ g или gсвsg или gсвф∙ ρ ∙ g,

где bn – ширина плиты;

ln – длина плиты;

V – объём конструктивного элемента или сумма объемов однотипных элементов;

ρ – плотность материала элемента;

ρ s – поверхностная плотность материала;

δ ф – толщина фанерных обшивок.

Нормативное значение снеговой нагрузки S0 на покрытие определяется по формуле: S0=0, 7∙ се∙ сt∙ Sg∙ μ

где Sg =3200 Па–вес снегового покрова на 1 м2 горизонтальной поверхности по п.10.2 [2];

се – коэффициент, учитывающий снос снега с покрытий зданий под действием ветра по п.10.5 [2];

сt =1 – термический коэффициент по п.10.10 [2];

μ =1 – коэффициент перехода от веса снегового покрова земли к снеговой нагрузке на покрытие, по табл. Г1 [2];

где ν – средняя скорость ветра за три наиболее холодные месяца;

k – принимается по табл. 11.2 [2];

b – ширина покрытия, принимаемая не более 100 м.

=0, 69

S0 =0, 7∙ 0, 69∙ 1∙ 2400∙ 1 = 1159, 2 Па

Расчётное значение снеговой нагрузки определяется путём умножения нормативной нагрузки на коэффициент надежности по нагрузке, по п.10.12 [2]. S = S0∙ γ f = 1159, 2∙ 1, 4 = 1622, 88 Па

Расчетная нагрузка от веса конструкций определяется путем умножения нормативной нагрузки на коэффициент надежности по нагрузке по п.2.2 [2].

Линейная нагрузка на плиту в Па определяется путём умножения нагрузки на покрытие в Па на ширину плиты bn =1, 5 м.

Расчёт нагрузок на плиту приведён в таблице 1.4.

Таблица 1.4 - Подсчёт нагрузок на плиту

Конструктивные элементы и нагрузки Нормативная нагрузка, Па Коэффициент надежности по нагрузке Расчётная нагрузка, Па
Постоянные нагрузки
1.Трёхслойная рулонная кровля типа К-1 по СП 17.13330.2011   1, 3 152, 1
2. Плита покрытия      
2.1 Фанерные обшивки плиты δ ф.∙ ρ ф∙ g = 0, 008∙ 700∙ 9, 81 54, 9 1, 1 60, 4
2.2 Продольные рёбра bр∙ hp∙ lp∙ np∙ ρ р∙ g= = ∙ 0, 056∙ 0, 144∙ 6∙ 5∙ 500∙ 9, 81 131, 85 1, 1 145, 035
2.3 Поперечные рёбра b′ р∙ h′ p∙ l′ p∙ nn.p.∙ ρ д∙ g = ∙ 0, 056∙ 0, 144∙ 0, 3∙ 8∙ 500∙ 9, 81 15, 82 1, 1 17, 402
2.4 Слой пергамина на битумной мастике   1, 2  
Нагрузка от плиты 232, 57   258, 837
Всего постоянная нагрузка на единицу площади покрытия – gn 349, 57   410, 937
Постоянная нагрузка на единицу площади покрытия приведённая к горизонтальной плоскости g0=gn; α =22о 377, 02   443, 21
Нормативная составляющая постоянной нагрузки g 90 = g0∙ cos2 α 324, 11    
Временные нагрузки
1. Снеговая нагрузка на горизонтальную поверхность - S   1, 4  
Нормальная составляющая полной снеговой нагрузки S90=S∙ cos² α      
Нормальная составляющая полной нагрузки q 90=g 90+S90 1719, 11    
Нормальная составляющая полной линейной нагрузки на плиту в Н/м q=q 90∙ bп=q 90∙ 1, 5 2578, 67 (2580)   (3500)

Поделиться с друзьями:

mylektsii.su - Мои Лекции - 2015-2026 год. (1.126 сек.)Все материалы представленные на сайте исключительно с целью ознакомления читателями и не преследуют коммерческих целей или нарушение авторских прав Пожаловаться на материал