Студопедия

Главная страница Случайная страница

КАТЕГОРИИ:

АвтомобилиАстрономияБиологияГеографияДом и садДругие языкиДругоеИнформатикаИсторияКультураЛитератураЛогикаМатематикаМедицинаМеталлургияМеханикаОбразованиеОхрана трудаПедагогикаПолитикаПравоПсихологияРелигияРиторикаСоциологияСпортСтроительствоТехнологияТуризмФизикаФилософияФинансыХимияЧерчениеЭкологияЭкономикаЭлектроника






Подбор сечения стальных элементов фермы






Опорная панель А-Д

Опорную панель нижнего пояса А-Д принимаем из двух стержней арматурной стали класса А300 (А-II). Растягивающее усилие в этой панели И1= 241890 Н.

Требуемая площадь двух стержней с учётом коэффициента m=0, 85, учитывающего неравномерность распределения усилий между стержнями:

принимаем два стержня диаметром 28 мм с F=12, 32

12, 32·10-4 м2 > 10, 53·10-4 м2

Панель нижнего пояса Д-Д¢

Панель нижнего пояса Д-Д¢ принимаем из трёх стержней арматурной стали класса А300 (А-II), между которыми вварены концевые стержни из арматурной стали с нарезкой на концах (рисунок 2.8).

 

 

Рисунок 2.11 Стальные элементы фермы

а - панель Д – Д; б - панель Д – Б.

Растягивающее усилие в панели Д-Д¢ ‑ И2 =160800 Н. Требуемая площадь трёх стержней:

принимаем 3 стержня диаметром 18 мм с

Требуемая площадь нетто концевых стержней:

Принимаем диаметр стержня 22 мм с F = 3, 8 см2 > 3, 57 см2.

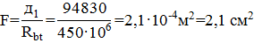
Раскос Д – Б

Раскос Д-Б принимаем из двух стержней арматурной стали класса А300 (А-II) с вваренным с одной стороны концевым стержнем из арматурной стали класса А300 (А-II) с нарезкой на конце (рисунок 2.11 б)

Растягивающее усилие в раскосе Д1 =94830 Н. Требуемая площадь 2-х стержней:

принимаем два стержня диаметром 18 мм,

Требуемая площадь нетто концевого стержня:

принимаем диаметр стержня 18 мм с F = 2, 545 см2 > 2, 1см2.


Поделиться с друзьями:

mylektsii.su - Мои Лекции - 2015-2026 год. (2.626 сек.)Все материалы представленные на сайте исключительно с целью ознакомления читателями и не преследуют коммерческих целей или нарушение авторских прав Пожаловаться на материал