Студопедия

Главная страница Случайная страница

КАТЕГОРИИ:

АвтомобилиАстрономияБиологияГеографияДом и садДругие языкиДругоеИнформатикаИсторияКультураЛитератураЛогикаМатематикаМедицинаМеталлургияМеханикаОбразованиеОхрана трудаПедагогикаПолитикаПравоПсихологияРелигияРиторикаСоциологияСпортСтроительствоТехнологияТуризмФизикаФилософияФинансыХимияЧерчениеЭкологияЭкономикаЭлектроника






Возможные неисправности и методы их устранения






Кондиционер не работает в случаях, если:

- отключена вилка;

- сгорел плавкий предохранитель или отключился автоматический вы­ключатель на щитке электросети, отсутствует электропитание.

Охлажденный воздух поступает в помещение, но понижение температуры недостаточное в случаях, если:

- открыты окна на дверь;

- ручка регулятора температуры находится в неправильном положении;

- засорены решетки на боковых стенках корпуса.

Контрольные вопросы:

1. Какие параметры обеспечивает кондиционер?

2. Перечислите основные рабочие узлы кондиционера, и их назначение.

3. Какие требования по технике безопасности необходимо соблюдать при эксплуатации кондиционера?

4. В каких случаях кондиционер не работает?

5. В каких случаях при охлаждение воздуха в помещение бывает недостаточное понижение температуры?

2.2. Определение параметров влажного воздуха

 

Цель работы: изучить основные характеристики влажного воздуха, способы их экспериментального определения и расчета ана­литическими методами и с использованием i-d диаграммы.

Принадлежности: психрометр, психрометрическая таблица, таблица свойств насыщенного водяного пара (по температурам), i-d диаграмма.

 

2.2.1. Общие теоретические сведения

Параметрами, характеризующими состояние влажного воздуха, являются:

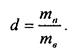
а) Влагосодержание d - масса водяных паров (кг), приходя­щихся на 1 кг сухого воздуха:

(2.1)

Единица измерения влагосодержания . Величину влагосодержания можно определить из уравнения состояния идеального газа (уравнение Менделеева - Клапейрона).

Запишем это уравнение отдельно для сухого воздуха и для во­дяного пара:

(2.2), (2.3)

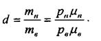
Здесь индексом в помечены параметры, относящиеся к сухому воздуху, а индексом п - величины, характеризующие водяной пар. Объем и температура влажного воздуха общие для обеих компонент смеси, поэтому они не индексированы. Разделив выражение (2.3) на (2.2), получим формулу для влагосодержания:

(2.4)

 

Воспользуемся законом Дальтона для смеси идеальных газов:

(2.5)

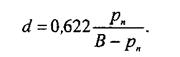
где В - давление смеси, равное атмосферному (барометрическому) давлению Па; рв – парциальное давление сухого воздуха в смеси; рп - парциальное давление паров воды. Тогда, с учетом того, что молярные массы сухого воздуха и паров воды, соответственно, равны = 0, 029 кг/моль; =0, 018 кг/моль, получим расчетную фор­мулу для влагосодержания:

(2.6)

б) Абсолютная влажность - масса водяных паров (кг), содержащихся в 1 м3 влажного воздуха. По своей размерности (кг/м3) абсолютная влажность представляет собой плотность водяных паров в
воздухе. Поэтому обозначается той же буквой, что и плотность вещества . Абсолютная влажность не может превосходить по величине
некоторого максимально возможного значения, которое имеет влажность воздуха в состоянии насыщения .

в) Относительная влажность - отношение абсолютной
влажности воздуха к абсолютной влажности воздуха в состоянии на-
сыщения при данной температуре . Относительная влажность

является величиной безразмерной < 1. Часто относительную влаж­ность выражают в процентах. Относительная влажность может также определяться по отношению парциальных давлений паров во влаж­ном воздухе рп и в состоянии насыщения рнас.

(2.7)

Давление насыщенного пара зависит от температуры и опреде­ляется по таблице насыщенного пара (таблица 2.2).

г) Энтальпия влажного воздуха, отнесенная к 1 кг сухого воз­духа, равна сумме энтальпий водяных паров и сухого воздуха:

где - энтальпия водяных паров при температуре воздуха.

Энтальпию водяных паров обычно находят с помощью эмпи­рических соотношений. С учетом этого эмпирическая формула для энтальпии влажного воздуха выглядит следующим образом:

i= cpt + (2500 + 1, 974t)d, кДж/кг сухого воздуха. (2.8)

Здесь ср - удельная теплоемкость воздуха при постоянном дав­лении при температуре t °С в кДж/кг град. При комнатной температу­ре можно принять ср = 1 кДж/кг град.

 


Поделиться с друзьями:

mylektsii.su - Мои Лекции - 2015-2026 год. (1.236 сек.)Все материалы представленные на сайте исключительно с целью ознакомления читателями и не преследуют коммерческих целей или нарушение авторских прав Пожаловаться на материал