Студопедия

Главная страница Случайная страница

КАТЕГОРИИ:

АвтомобилиАстрономияБиологияГеографияДом и садДругие языкиДругоеИнформатикаИсторияКультураЛитератураЛогикаМатематикаМедицинаМеталлургияМеханикаОбразованиеОхрана трудаПедагогикаПолитикаПравоПсихологияРелигияРиторикаСоциологияСпортСтроительствоТехнологияТуризмФизикаФилософияФинансыХимияЧерчениеЭкологияЭкономикаЭлектроника






В пространстве, как и на плоскости, вектором называется направленный отрезок.






Координатами вектора с началом в точке А11; у1; z1) и концом в точке А22; у2; z2) называются числа х2 – х1, у2 – у1, z2 – z1.

Равные векторы имеют равные координаты, и обратно. Это дает основание для обозначения вектора его координатами:

Модуль вектора заданного своими координатами:
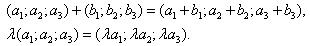
При сложении векторов их соответствующие координаты складываются, а при умножении вектора на число все его координаты умножаются на это число, т.е. справедливы формулы:  
Скалярным произведением векторов называется число:   где - угол между векторами
Скалярное произведение векторов  
Косинус угла между векторами и находится по формуле:
Необходимое и достаточное условие перпендикулярности векторов и имеет вид:
 

Задача 1. Даны четыре точки А (2; 7; -3), В(1; 0; 3), С(-3; -4; 5), D(-2; 3; -1). Укажите среди векторов , , , , и равные векторы

Решение. Надо найти координаты указанных векторов и сравнить соответствующие координаты. У равных векторов соответствующие координаты равны. Например, у вектора координаты: 1 – 2 = -1, 0 – 7 = -7, 3 – (- 3) = 6. У вектора такие же координаты: -3 – (-2) = -1, -4 – 3 = -7, 5 – (- 1) = 6. Таким образом, векторы и равны. Другой парой равных векторов будут и .

Задачи

Цель. Учиться использовать координатный метод для определения взаимного расположения векторов в пространстве; использовать при решении стереометрических задач планиметрические факты и методы; проводить доказательные рассуждения в ходе решения задач.


1.Даны три точки А (1; 0; 1), В (-1; 1; 2), С (0; 2; -1). Найдите точку D(х; у; z), если векторы и равны.

2.Даны векторы (2; п; 3) и (3; 2; т). При каких значениях т и п эти векторы коллинеарны?

3.При каком значении п данные векторы перпендикулярны:

1) а (2; -1; 3), в (1; 3; п),

2) а (п; -2; 1), в (п; -п; 1), 3) а (п; -2; 1), (п; 2 п; 4), 4) а (4; 2 п; -1), в (-1; 1; п)?

4.Даны три точки А (1; 0; 1), В (-1; 1; 2), С (0; 2; -1). Найдите на оси z такую точку D (0; 0; с), чтобы векторы и были перпендикулярны.

 
 


5.Даны четыре точки А (0; 1; -1), В (1; -1; 2), С (3; 1; 0), D (2; -3; 1). Найдите косинус угла φ между векторами и .

6. Даны три точки А (0; 1; -1), В (1; -1; 2), С (3; 1; 0). Найдите косинус угла С треугольника АВС.

Ответы к задачам

1. D (-2; 3; 0).2. п = 3. 1) п = , 2) п = -1, 3) п = 2, 4) п = 4. 4. c = 1. 5. . 6.


Поделиться с друзьями:

mylektsii.su - Мои Лекции - 2015-2026 год. (1.744 сек.)Все материалы представленные на сайте исключительно с целью ознакомления читателями и не преследуют коммерческих целей или нарушение авторских прав Пожаловаться на материал