Студопедия

Главная страница Случайная страница

КАТЕГОРИИ:

АвтомобилиАстрономияБиологияГеографияДом и садДругие языкиДругоеИнформатикаИсторияКультураЛитератураЛогикаМатематикаМедицинаМеталлургияМеханикаОбразованиеОхрана трудаПедагогикаПолитикаПравоПсихологияРелигияРиторикаСоциологияСпортСтроительствоТехнологияТуризмФизикаФилософияФинансыХимияЧерчениеЭкологияЭкономикаЭлектроника






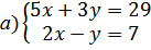
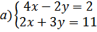
А) Крамера, б)Гаусса






11.

а) б)

12.

а) б)

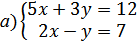
13.

а)

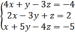
14.

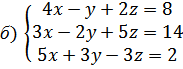
б)

 

15.

а) б)

 

16.

a)

 

17.

б)

18.

б)

19.

б)

20.

 

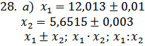
Тема3. Приближенные вычисления [5] гл 1, п1-4.

Найти по правилам нестрогого учета погрешностей приближенные значения указанных действий с верными цифрами.

 

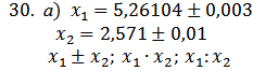
№21-30. 21. а) x1=12, 735 + 0, 02; x2= 5, 2578 + 0, 03; x1 + x2; x1*x2; x1: x2; б) 3, 22*0, 5678;   22. а) x1=2, 3005 + 0, 001; x2= 6, 251 + 0, 01; x1 + x2; x1*x2; x1: x2; б)   23. x1=9, 756 + 0, 0002; x2= 3, 0151 + 0, 003; x1 + x2; x1*x2; x1: x2; б) (3, 2)3*(6, 73)2;   24. x1=3, 732 + 0, 02; x2= 2, 0671 + 0, 05; x1 + x2; x1*x2; x1: x2; б) 3, 85+2, 0131-1, 3;   25. x1=6, 2359 + 0, 03; x2= 7, 0671 + 0, 009; x1 + x2; x1*x2; x1: x2; б) 28, 3-14, 32+33, 16798;   б) б) б) б) б)  

 

Тема 4. Дифференциальное исчисление [1], гл. 7, 8 §1, 2

[3], §20, 24

№ 31-40 Найти:

а) Производную и дифференциал функции

б) Наибольшее и наименьшее значение на [а; b]

31. a)

б)

в)

32. a)

б)

в)

33. a)

б)

в)

34. a)

б)

в)

35. a)

б)s w: space=" 720" /> < /w: sectPr> < /w: body> < /w: wordDocument> ">

в)

36. a)

б)

в)

37. a)

б)

в)

38. a)

б)

в)

39. a)

б)

в)

40. a)

б)

в)

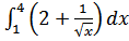
Тема 5. Интегральное исчисление [3] гл. 9, 10 § 1, 2

[1] гл. 10, 11 § 1, 2

№ 41-50. Найти интегралы в п. а), б), в), и площадь фигуры, ограниченный линиями в п. г)

41. a)

б )

в)

г)

42. a)

б)

в)

г)

43. a)

б)

в)

г)y=

44. а)

б)

в)

г)

45. а)

б)

в)

г)y=

46. а)

б)

в)

г)

 

47. а)

б)

в)

г)

 

48. а)

б)

в)

г)r w: top=" 1134" w: right=" 850" w: bottom=" 1134" w: left=" 1701" w: header=" 720" w: footer=" 720" w: gutter=" 0" /> < w: cols w: space=" 720" /> < /w: sectPr> < /w: body> < /w: wordDocument> ">

49. а)

б)

в)

г)

 

50. а)

б)

в)

г)

 

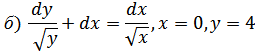
Тема 6. Дифференциальные уравнения [1], гл.12 § 1, 2

51-60

Найти решение дифференциальных уравнений

а) общее,

б) частное

51.

;

б)

52.

;

б)

53.

а) ;

r wsp: rsidR=" 00000000" > < w: pgSz w: w=" 12240" w: h=" 15840" /> < w: pgMar w: top=" 1134" w: right=" 850" w: bottom=" 1134" w: left=" 1701" w: header=" 720" w: footer=" 720" w: gutter=" 0" /> < w: cols w: space=" 720" /> < /w: sectPr> < /w: body> < /w: wordDocument> ">

54.

;

55.

;

56.

а) ;

57.

;

58.

;

59.

;

60.

;

 



Поделиться с друзьями:

mylektsii.su - Мои Лекции - 2015-2026 год. (1.688 сек.)Все материалы представленные на сайте исключительно с целью ознакомления читателями и не преследуют коммерческих целей или нарушение авторских прав Пожаловаться на материал