Студопедия

Главная страница Случайная страница

КАТЕГОРИИ:

АвтомобилиАстрономияБиологияГеографияДом и садДругие языкиДругоеИнформатикаИсторияКультураЛитератураЛогикаМатематикаМедицинаМеталлургияМеханикаОбразованиеОхрана трудаПедагогикаПолитикаПравоПсихологияРелигияРиторикаСоциологияСпортСтроительствоТехнологияТуризмФизикаФилософияФинансыХимияЧерчениеЭкологияЭкономикаЭлектроника






Применение формул Крамера и решению систем линейных уравнений.






Рассмотрим применение формул Крамера к решению систем двух линейных уравнений с двумя неизвестными.

Решение. Вычислим определитель системы и определители х и у:

Найдем значение х и у по формуле Крамера:

Итак, решение системы есть (3: -1).

72. Решите систему уравнений

Решение. Вычислим определитель системы и определители х и у:

Так как =0, а х≠ 0, у≠ 0, то система не имеет решений (уравнения противоречивы).

73. решить систему уравнений

Решение. Находим

Данная система имеет бесчисленное множество решений (коэффициенты при неизвестных пропорциональны).

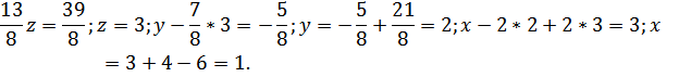
74. Решить систему уравнений

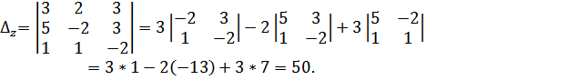
Решение. Вычислим определить системы и определители при неизвестных:

 

Найдем значения x, y, z по формулам Крамера.

Итак, получаем ответ: (1; -1; 2).

 

Тема 3. Решение систем линейных уравнений методом Гаусса.

При решении систем линейных уравнений используют также метод Гаусса (метод последовательного исключения неизвестных). Он состоит в следующем: систему уравнений приводят к эквивалентной ей системе с треугольной матрицей (системы называются эквивалентными, если множества их решений совпадают). Эти действия называют прямым ходом. Из полученной треугольной системы переменные находят с помощью последовательных подстановок (обратный ход).

При выполнении прямого хода используют следующие преобразования:

1. Умножение или деление коэффициентов свободных членов на одно и то же число;

2. Сложение и вычисление уравнений;

3. Перестановку уравнений системы;

4. Исключение из системы уравнений, в которых все коэффициенты при неизвестных и свободных членов равны нулю.

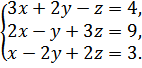
Используя метод Гаусса, решить систему уравнений.

 

Решение. Переставим третье уравнение на место первого:

Запишем расширенную матрицу:

Что бы в 1-м столбце получить а21=а31=0, умножим 1-ю строку на 3, а затем на 2 вычтем результаты из 2-й и 3-й строк:

Разделим 20-ю строку на 8, полученные результаты умножим на 3 и вычтем из 3-й строки:

Запишем новую эквивалентную систему, которой соответствует расширенная матрица:

 

Выполняя обратный ход, с помощью последовательных подставок находим неизвестные:

Итак, получаем ответ: (1; 2: 3).

 

Тема 4: Дифференцирование

а) Найти экстремумы функции

б) наибольшее и наименьшее значение функции [-1; 3]

Решение.

1. Найти y|: y|=x3+3x2+2x;

y|=0;

x3+x2+2x=0;

x(x2+3x+2)=0; т.е. x1=-1; x2=0; x3=-2 – критические точки.

2. Найти y|| : y||=3x2+6x+2 Найти значение y|| при критических точках

ymin (-2)=4; т.к. y||=(-2)> 0 т.е. функция имеет min;

ymax(-1)=17/4; т.к. y||=(-1)< 0 т.е. функция имеет max;

ymin (0)=4; т.к. y||=(0)> 0 т.е. функция имеет min;

 

б) Для нахождения наибольшего или наименьшего значения находят критические точки, принадлежащие отрезку [-1; 3], значения f(x) при этих критических точках и на концах отрезка; среди найденных значений выбирают f наибольшее и f наименьшее.

 

1. y|= x3+3x2+2x=0;

Î [-1; 3]
x1=0

x2=-1

 

Найдем

f наибольшее (3)=60, 25

f наименьшее (0)= 4

 

Примеры решения по теме 5: Интегральные исчисления

а) Вычислить

Данный интеграл вычисляется методом замены переменной.

Решение:

Проведем дифференцирование:

– подынтегральная функция

б) Вычислить

Решение: интеграл вычисляется по частям:

ar w: top=" 1134" w: right=" 850" w: bottom=" 1134" w: left=" 1701" w: header=" 720" w: footer=" 720" w: gutter=" 0" /> < w: cols w: space=" 720" /> < /w: sectPr> < /w: body> < /w: wordDocument> ">

Аналогично можно проверить. Что произведение полученной функции равно подынтегральной функции, т.е интеграл вычислен правильно.

в) Вычислить

Решение.

При вычислении переделенного интеграла используются такие же методы что и неопределенного. Но затем пользуются формулой Ньютона- Лейбница:

г) Найти площадь фигуры: у=х2-2х – парабола с вершиной в точке (1; -1), ветви вверх точка пересечения с осью ОХ: (0; 0); (2; 0)

 

 

s=s1+s2;

Тема: Комплексные числа. Алгебраическая форма комплексного числа a+bi; {a, b}ª R, i- мнимая единица, i2=-1

Сложение:

z1+z2=(a+bi)+(c+di)=(a+c)+(b+d)i

(2+3i)+(5-7i)=(2+5)+(3-7)i=7-4i

Вычитание:

z1-z2 =(a+bi)-(c+di)=(a-c)+(b-d)i

(5+4i)-(2-3i)=(5-2)+(4+3)i=3+7i

Умножение:

z1*z2=(a+bi)*(c+di)=(ac-bd)+(ad+bc)

(a+bi) на (c+di) умножаем по правилам действий над многочленами.

(1+2i)(3-i)=3*1-1*i+6i-2i2=3+2-i+6i=5+5i

Деление: на практике при делении комплексных чисел удобно домножить числитель и знаменатель дроби на выражении, сопряженное знаменателю:

 

Возведение в степень мнимой единицы:

i1=i;

i2=-1;

i3=i2*i=-1*i=-i;

i4=i2 *i2=(-1)(-1)=1;

i5=i3*i2=-i(-1)=i;

i6=i5*i=i*i=-1=i2; …

Видим закономерность:

i(4n+r)=(i4)n*ir=(1)n*ir=ir

Получаем:

i4m=1;

i4m+1=i;

i4m+2=-1;

i4m+3=-i;

i218=i4*54+2=i2=-1.

 

Сумма и произведение двух сопряженных комплексных чисел являются действительными числами:

z+z=(a+bi)+(a-bi)=2a;

z*z=(a+bi)(a-bi)=a2+b2.

 

Каждому комплексному числу z=a+bi можно поставить в соответствие точку M(a; b) координатной плоской, абсцисса которой равна действительной части комплексной части комплексного числа, а ордината - мнимой части (рис.)

 

Рис.

Важной и удобной является интерпретация комплексного числа a+bi как радиус - вектора OM, т.е. вектора, исходящего из начала координат O(0, 0) и идущего в точку M(a; b). Разумеется, вместо радиус вектора OM можно взять любой равный ему вектор. Изображение комплексных чисел с помощью векторов удобно тем, что при этом получают простое геометрическое истолкование операций над ними. При сложении чисел z1=a+bi и z2=c+di складываются их действительные и мнимые части. При сложении соответствующих им векторов OM1 и OM2 складываются их координаты:

числу z1+z2 соответствует вектор OM1+OM2,

числу z1-z2 – вектор OM1 – OM2.

Модулем комплексного числа z1=a+bi называется арифметический квадратный корень из суммы квадратов его действительной части и коэффициента при мнимой единице:

 

Аргументом комплексного числа z1=a+bi называется радианная мера угла φ, образованного этим вектором с положительным направлением действительной оси 0≤ φ < 2π,

arg z=φ

Величина угла считается положительной, если отсчет ведется против часовой стрелки и отрицательной, если отсчет производится по часовой стрелке.

Возьмем на плоскости точку М(a, b), пусть ей соответствует комплексное число z1=a+bi. Обозначим через φ угол, который образует радиус – вектор OM с положительным направлением оси OX.

Тригонометрическая форма комплексного числа r(cosφ + isinφ), показательная форма reφ i

 

Действия в показательной форме:


 

- формула Муавра.

Аналогично в тригонометрической форме:

Пример.

 

Тема 3. Действия с приближенными числами.

a=35, 671±0, 0023

∆ a=0, 0023 –абсолютная погрешность а; ha=0, 01- граница погрешности

b=17, 5231±0, 01

∆ b=0, 01 - 1 – b, она же граница абсолютной погрешности hb

Округляют с верными цифрами a и b: По правилам подсчёта верных цифр:

a≈ 35, 67; b≈ 17, 53

a∙ b=35, 67∙ 17, 53=

a+b=53, 20;

a-b=18, 14;

a: b=35, 67: 17, 53=

Правила:

1) При сложении вычитании результат округляют с наименьшим числом десятичных знаков среди исходных данных

2) При умножении и делении, а так же комбинированных действиях. Результат округляют с наименьшим числом значащих цифр, оставляя запасную цифру в промежуточных действиях, исходные данные округляют так же с запасной цифрой, предварительно округлив до верных цифр.

 

Литература:

1. Кремер Н.Ш. Практикум по высшей математике.

2. Данко П.Е., Попов А.Г., Кожевникова Т.Я. Высшая математика в упражнениях и задачах. Ч. I. М: Высшая школа, 1999

3. Письменный Д.Т.Сборник задач по высшей математике, М: Айрис-пресс, 2004

4. Письменный Д.Т. Конспекты лекций по высшей математике ч. I, М: Айрис-пресс, 2006

5. Валуцэ Н.И., Дилигул Г.Д. Математика для техникумов. Наука, 1980

6. Габзалилова Л.В. Учебное пособие. Дискретная математика, УТЭК, 2009

7. Пехлецкий И.Д. Математика. М: ACADEMA, 2009


Поделиться с друзьями:

mylektsii.su - Мои Лекции - 2015-2026 год. (1.182 сек.)Все материалы представленные на сайте исключительно с целью ознакомления читателями и не преследуют коммерческих целей или нарушение авторских прав Пожаловаться на материал