Студопедия

Главная страница Случайная страница

КАТЕГОРИИ:

АвтомобилиАстрономияБиологияГеографияДом и садДругие языкиДругоеИнформатикаИсторияКультураЛитератураЛогикаМатематикаМедицинаМеталлургияМеханикаОбразованиеОхрана трудаПедагогикаПолитикаПравоПсихологияРелигияРиторикаСоциологияСпортСтроительствоТехнологияТуризмФизикаФилософияФинансыХимияЧерчениеЭкологияЭкономикаЭлектроника






Задание №7






Вычислить:

7.1. 2A + BC, если A = ; B = ; С = .

 

7.2. 3A – BC, если A = ; B = ; С =

 

7.3. BC – 4A, если A = ; B = ; С = .

 

7.4. 5A +BC, если A = ; B = ; С = .

 

7.5. 2AB + C, если A = ; B = ; C = .

 

7.6. AB + 3C, если A = ; B = ; C = .

 

7.7. AB – 4C, если A = ; B = ; С = .

 

7.8. AВ + 5C, если A = ; B = ; C = .

 

7.9. AB + 3C, если A = ; B = ; С = .

 

7.10. AB + 2C, если A = ; B = ; C = .

 

7.11. AB – 4C, если A = ; B = ; C = .

 

7.12. AB – 3C, если A = ; B = ; С = .

 

7.13. 3A + BC, если A = ; B = ; C = .

 

7.14. 4A –BC, если A = ; B = ; С = .

 

7.15. A + 2BC, если A = ; B = ; С = .

 

7.16. A – 2BC, если A = ; B = ; С =

 

7.17. 2A + BC, если A = ; B = ; С = .

 

7.18. 3A – BC, если A = ; B = ; С = .

 

7.19. BC – 4A, если A = ; B = ; С =

 

7.20. 5A + BC, если A = ; B = ; C =

 

7.21. 2AB + C, если A = ; B = ; C = .

 

7.22. AB + 3C, если A = ; B = ; C = .

 

7.23. AB – 4C, если A = ; B = ; C = .

 

7.24. AB + 5C, если A = ; B = ; C = .

 

7.25. AB +3C, если A = ; B = ; C = .

 

7.26. AВ + 2C, если A = ; B = ; C = .

 

7.27. AB – 4C, если A = ; B = ; C = .

 

7.28. AB – 3C, если A = ; B = ; C = .

 

7.29. 3A + BC, если A = ; B = ; С = .

 

7.30. 4A – BC, если A = ; B = ; С = .

 

 

Задание №8.

Вычислить определитель: 1) разложением по элементам столбца; 4) разложением по элементам строки

 

8.1. 8.2. 8.3.

 

8.4. 8.5. 8.6.

 

8.7. 8.8. 8.9.

 

8.10. 8.11. 8.12.

 

8.13. 8.14. 8.15.

 

8.16. 8.17. 8.18.

 

8.19. 8.20. 8.21.

 

8.22. 8.23. 8.24.

 

8.25. 8.26. 8.27.

 

8.28. 8.29. 8.30.

Задание №9.

Вычислить определитель, обнулив элементы (кроме одного) какой-либо строки или столбца исходной матрицы.

 

9.1. 9.2. 9.3.

 

9.4. 9.5. 9.6.

 

9.7. 9.8. 9.9.

 

9.10. 9.11. 9.12.

 

9.13. 9.14. 9.15.

 

9.16. 9.17. 9.18.

 

9.19. 9.20. 9.21.

 

9.22. 9.23. 9.24.

 

9.25. 9.26. 9.27.

 

9.28. 9.29. 9.30.

 

 

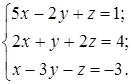
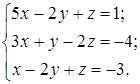
Задание №10

Решить систему тремя способами:

а) матричным; б) по формулам Крамера; в) методом Гаусса.

 

10.1. 10.2. 10.3.

 

10.4. 10.5. 10.6.

 

10.7. 10.8. 10.9.

 

10.10. 10.11. 10.12.

 

10.13. 10.14. 10.15.

 

10.16. 10.17. 10.18.

 

10.19. 10.20. 10.21.

 

10.22. 10.23. 10.24.

 

10.25. 10.26. 10.27.

 

10.28. 10.29. 10.30.

 

 

Задание №11.

Даны векторы и , где ; ; .

 
 


Найти: а) ; б) ; в) .

 

11.1.

 

11.2.

 

11.3.

 

11.4.

 

11.5.

 

11.6.

 

11.7.

 

11.8.

 

11.9.

11.10.

11.11.

11.12.

11.13.

 

11.14.

 

11.15.

 

11.16.

 

11.17.

 

11.18.

 

11.19.

 

11.20.

 

11.21.

 

11.22.

 

11.23.

 

11.24.

 

11.25.

 

11.26.

 

11.27.

 

11.28.

 

11.29.

 

11.30.

 


Поделиться с друзьями:

mylektsii.su - Мои Лекции - 2015-2026 год. (1.595 сек.)Все материалы представленные на сайте исключительно с целью ознакомления читателями и не преследуют коммерческих целей или нарушение авторских прав Пожаловаться на материал