Студопедия

Главная страница Случайная страница

КАТЕГОРИИ:

АвтомобилиАстрономияБиологияГеографияДом и садДругие языкиДругоеИнформатикаИсторияКультураЛитератураЛогикаМатематикаМедицинаМеталлургияМеханикаОбразованиеОхрана трудаПедагогикаПолитикаПравоПсихологияРелигияРиторикаСоциологияСпортСтроительствоТехнологияТуризмФизикаФилософияФинансыХимияЧерчениеЭкологияЭкономикаЭлектроника






Тақырып. Сығылған өзектердің орнықтылығы.






 

Материалдар кедергісі беріктік пен қ атаң дық тан есебінен басқ а орнық тылық есебінен тұ рады. Жалпы тепе-тең дік орнық тылығ ы туралы мә ліметтер теориялық механика тарауында айтылғ ан болатын(8-тақ ырып).

Ұ зын, жің ішке жә не тү зу ө зекке бойлық кү ш ә сер етсін делік, егер осы бойлық кү ш ә серінен иілген ө зек қ айтадан ө з қ алпына келетін болса онда ол ө зек орнық ты деп аталады, сығ ушы бойлық кү штің белгілі бір мә нінде сығ ылғ ан ө зек қ айтадан қ алпына келмейді немесе басқ а қ исық сызық ты тепе-тең дікке келеді, яғ ни ө зек орнық тылығ ын жоғ алтады. Осы ө зек орнық тылығ ын жоғ алтқ анғ а дейінгі ө зекке ә сер ететін кү штің ең ү лкен мә нін кү дікті кү ш деп атаймыз. Ө зектің тү зу қ алыпының орнық тылығ ын жоғ алтылатын иілудің тү рін бойлық иілу деп атайды.

Математикалық тә сілмен кү дікті кү шті 1744 жылы Эйлер анық тады. Эйлер формуласы бойынша:

Мұ нда, ө зектің бекітілуіне байланысты коэффицент. ө зектің материалының серпімділік модулі. ө зектің кө лденең қ имасының ең кіші инерция моменті. ө зектің ұ зындығ ы.

24.1-сурет. Ө зектің бекілуіне байланысты коэффиценттер.

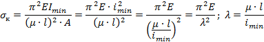
Эйлер формуласы бойынша ө зектің кө лденең қ имасындағ ы кү дікті нормалдық кернеуді былайша жазуғ а болады:

Кү дікті кү штің мә нін орнына қ ойсақ, нормалдық кернеуді былайша жазамыз:

Ақ ырғ ы формулағ а жазық қ иманың екі геометриялық сипаттамасы кіреді: кө лденең қ иманың инерция моменті жә не кө лденең қ иманың ауданы .

Осы жазық қ иманың сипаттамалырын қ иманың ең кіші радиусы деп атап былайша белгілеп алайық:

Жазық қ иманың ең кіші радиусын пайдаланып кү дікті нормалдық кернеуді былайша жазайық:

Мұ нда, ө зектің иілгіштігі.

Кейбір Эйлер формуласын қ олдануғ а болмайтын жағ дайларда Ф.С.Ясенский формуласын қ олдану арқ ылы кү дікті кернеуді анық тауғ а болады:

Мұ нда, тә жірибелер жасау арқ ылы анық талатын коэффиценттер. Олардың ө лшем бірліктері кернеудің ө лшем бірлігімен сә йкес келеді.

Иілгіштіктің кейбір мә нінде() Ясенский формуласы бойынша анық талғ ан кү дікті кернеу сығ ылу кезіндегі шекті кернеуге сә йкес келеді. Сондық тан иілгіштігіне байланысты ө зектерді шартты тү рде ү ш топқ а бө леді:

1. Жоғ арғ ы иілгішті ө зектер. Егер, , бұ л жағ дайда орнық тылық қ а есептеу Эйлер формуласы арқ ылы жү ргізіледі.

2. Орташа иілгішті. Егер, , бұ л жағ дайда орнық тылық қ а есептеу Ясенский формуласы арқ ылы жү ргізіледі:

3. Аз иілгіш ө зектер. Егер, болса, онда мұ ндай ө зектерді орнық тылық қ а емес беріктікке есептейді.

Ясенский формуласы қ олданылатын материалдар:

Кесте 24.1

Материал a b
MПа
Болат Ст2 Болат Ст3 Болат 20, Ст4 Болат 45 Дюралюмин Д16Т Қ айың 29, 3 0, 70 1, 14 1, 15 1, 67 1, 83 0, 194 -  

 

 



Поделиться с друзьями:

mylektsii.su - Мои Лекции - 2015-2026 год. (1.724 сек.)Все материалы представленные на сайте исключительно с целью ознакомления читателями и не преследуют коммерческих целей или нарушение авторских прав Пожаловаться на материал