Студопедия

Главная страница Случайная страница

КАТЕГОРИИ:

АвтомобилиАстрономияБиологияГеографияДом и садДругие языкиДругоеИнформатикаИсторияКультураЛитератураЛогикаМатематикаМедицинаМеталлургияМеханикаОбразованиеОхрана трудаПедагогикаПолитикаПравоПсихологияРелигияРиторикаСоциологияСпортСтроительствоТехнологияТуризмФизикаФилософияФинансыХимияЧерчениеЭкологияЭкономикаЭлектроника






Розподіл Стьюдента. Визначення довірчого інтервалу для оцінки мат сподівання у генеральній сукупності на основі малої вибірки






Відбір та дослідження вибірки завжди пов’язані з певною вартістю, яка залежить від об’єму вибірки. Дві змінні, – точність дослідження і його вартість між собою пов’язані у такий спосіб, що коли одна зростає, то і друга також зростає.

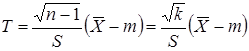
Визначаючи довірчий інтервал для оцінки матсподівання у генеральній сукупності, користаємось випадковою змінною

, (3.1)

про яку знаємо, що її розподіл зі зростанням об’єму вибірки прямує до нормального розподілу. Якщо ж беручи до уваги вартість дослідження маємо малу вибірку і не можемо її збільшити, то розподіл змінної T може суттєво відрізнятись від нормального. Коли вибірка мала, то не можемо також замінити невідоме значення стандартного відхилення s у генеральній сукупності ствндвртним відхиленням s, обчисленим на основі вибірки. Однак це не означає, що маючи малу вибірку, не можемо визначити довірчий інтервал для оцінки параметра m. Англійський статистик W. Gosset (Student) довів наступну теорему.

ТЕОРЕМА. Якщо незалежні випадкові величини (вип. змінні) мають нормальний розподіл , то випадкова величина (вип. змінна)

(3.2)


Поделиться с друзьями:

mylektsii.su - Мои Лекции - 2015-2026 год. (0.936 сек.)Все материалы представленные на сайте исключительно с целью ознакомления читателями и не преследуют коммерческих целей или нарушение авторских прав Пожаловаться на материал