Студопедия

Главная страница Случайная страница

КАТЕГОРИИ:

АвтомобилиАстрономияБиологияГеографияДом и садДругие языкиДругоеИнформатикаИсторияКультураЛитератураЛогикаМатематикаМедицинаМеталлургияМеханикаОбразованиеОхрана трудаПедагогикаПолитикаПравоПсихологияРелигияРиторикаСоциологияСпортСтроительствоТехнологияТуризмФизикаФилософияФинансыХимияЧерчениеЭкологияЭкономикаЭлектроника






Практическая работа №4






«Статистический подход к определению вероятности средствами Mathcad»

Выполнив задания этой работы вы научитесь:

1. Писать подпрограмму-функцию, имитирующую реальный процесс в Mathcad;

2. Анализировать полученные результаты и делать выводы на основании графического представления информации.

 

Относительной частотой события А в серии испытаний называется отношение числа µ испытаний данной серии, в которых появилось событие А, к к общему числу ν испытаний серии.

=µ/ν.

Здесь µ – число появления события А в общем числе испытаний данной серии; число µ носит названия частоты появления события А.

Статистической вероятностью события A называется число, около которого колеблется относительная частота этого события, приближаясь к нему по мере увеличения числа испытаний.

 

Задание1: Проиллюстрируем процесс стабилизации относительных частот при увеличении числа испытаний на примере идеализированного эксперимента, имитирующего бросание монеты. Предположим, что в эксперименте осуществляется бросание монеты n раз; эксперимент повторяется 5 раз.

Технология выполнения задания: Необходимо создать циклическую процедуру имитации результатов бросания. В качестве генератора результатов эксперимента используем генератор независимых случайных чисел (встроенная функция runif) с равномерным распределением в диапазоне (0, 49, 0, 51), данные которого округляются до ближайшего целого (0 или1) с применением встроенной функции round.

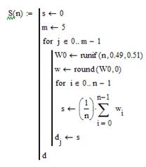
1. Обозначим результат эксперимента функцией S(n), которая будет задаваться программой:

2. Для задания программного блока вызовем палитру программных элементов:

3. Нажав на строку «Programming» вызовем окно палитры:

· Add Line – создает и при необходимости удлиняет жирную вертикальную линию, справа от которой производится запись программного блока:

· А – символ локального (в теле модуля) присваивания:

· if – условная инструкция;

· otherwise – инструкция иного выбора (обычно применяется с if);

· for – инструкция задания цикла с фиксированным числом повторений:

· while – инструкция задания цикла, действующего до тех пор, пока выполняется некоторое условие;

· break – инструкция прерывания;

· continue – инструкция продолжения;

· return – инструкция возврата;

· on error – инструкция обработки ошибок.

4. Продолжим написание программы. Для того, чтобы присвоить переменной s ее локальное значение выполним следующие действия: «(», «/», появится шаблон, который необходимо заполнить , «)», чтобы ввести знак «умножение» наберем комбинацию клавиш Shift+8 , далее через меню выберем:

В результате получим палитру «Calculus»:

Выбрав необходимый шаблон, получим:

В завершенном виде программный блок будет выглядеть следующим образом:

Задание для самостоятельного выполнения: На рабочем листе Mathcad записать данный программный блок и объяснить каждую строчку программы: что в этой строчке записывается и какой результат получается.

Задание2: Проанализировать данные задачи при n =100, n =500 и n =3000. Для этого построить графики указанных зависимостей в одной декартовой системе координат.

Полученный результат должен подтвердить гипотезу о том, что теоретическое значение вероятности равно 0, 5, при этом, чем больше число n, тем уже диапазон отклонений полученных значений от теоретического значения вероятности.

Выводы: 1.Из статистического подхода следует, что относительная частота события А может служить приближенным значением (оценкой) вероятности события А:

P(A) = =µ/ν.

2. Если эксперимент не может быть отнесен к классическому с равновозможными исходами, то статистический подход служит единственной основой приближенного вычисления вероятности.

 


Поделиться с друзьями:

mylektsii.su - Мои Лекции - 2015-2026 год. (1.255 сек.)Все материалы представленные на сайте исключительно с целью ознакомления читателями и не преследуют коммерческих целей или нарушение авторских прав Пожаловаться на материал