Студопедия

Главная страница Случайная страница

КАТЕГОРИИ:

АвтомобилиАстрономияБиологияГеографияДом и садДругие языкиДругоеИнформатикаИсторияКультураЛитератураЛогикаМатематикаМедицинаМеталлургияМеханикаОбразованиеОхрана трудаПедагогикаПолитикаПравоПсихологияРелигияРиторикаСоциологияСпортСтроительствоТехнологияТуризмФизикаФилософияФинансыХимияЧерчениеЭкологияЭкономикаЭлектроника






Оцінка стійкості автоматичної системи за її структурою






 

В ряді випадків оцінити стійкість автоматичної системи можна за її структурою. Це значно скорочує час, так як немає необхідності складати характеристичне рівняння.

Якщо система має таку структуру, що в ній неможливо забезпечити стійкість ні при якому значенні параметрів її елементів, то така система називається структурно-нестійкою.

Оцінимо стійкість даної системи за її структурою. Наприклад, якщо система має дві інтегруючих ланки, неохоплені жорстким зворотним зв’язком, і не має послідовно включених диференціюючих ланок, то вона буде нестійкою при будь-якому значенні параметрів її елементів.

Покажемо це на прикладі простішої системи, яка складається з однієї аперіодичної і двох інтегруючих ланок. Передавальна функція такої системи в розімкнутому стані

,

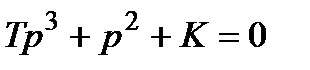
а характеристичне рівняння замкнутої системи

.

Для цього рівняння не виконується необхідна умова стійкості. Отже, система буде нестійка при будь-яких значеннях параметрів Т і К, тобто вона буде структурно нестійкою. Структурно нестійку систему можна перетворити в стійку тільки заміною її структури, тобто введенням додаткових елементів, наприклад диференціюючих елементів при включенні пропорційних елементів паралельно інтегруючим.

 

Рисунок 4.5 – ЛАЧХ нейтральної (а) і нестійкої (б) розімкнутих систем в замкнутому стані

 


Поделиться с друзьями:

mylektsii.su - Мои Лекции - 2015-2026 год. (0.646 сек.)Все материалы представленные на сайте исключительно с целью ознакомления читателями и не преследуют коммерческих целей или нарушение авторских прав Пожаловаться на материал