Студопедия

Главная страница Случайная страница

КАТЕГОРИИ:

АвтомобилиАстрономияБиологияГеографияДом и садДругие языкиДругоеИнформатикаИсторияКультураЛитератураЛогикаМатематикаМедицинаМеталлургияМеханикаОбразованиеОхрана трудаПедагогикаПолитикаПравоПсихологияРелигияРиторикаСоциологияСпортСтроительствоТехнологияТуризмФизикаФилософияФинансыХимияЧерчениеЭкологияЭкономикаЭлектроника






Методи побудови перехідних процесів






 

Для визначення числових значень показників перехідного процесу необхідно мати його криву, яку можна отримати трьома різними способами: експериментально, за допомогою моделювання та розрахунковим шляхом. Проведемо огляд розрахункових методів встановлення і побудови перехідних процесів. До них відносяться методи, що грунтуються на роз-в’язанні диференціальних рівнянь та частотний метод.

Спочатку розглянемо встановлення перехідної функції шляхом розв’язання диференціальних рівнянь системи.

Відомі методи розв’язку диференціальних рівнянь розділяють на точні і наближені. До точних відносяться класичні і операційні методи. Різні чисельні та графічні методи роз-в’язку диференціальних рівнянь є наближеними.

При розв’язанні диференціальних рівнянь класичним методом виникають труднощі, пов’язані з розв’язанням характеристичного рівняння для знаходження його коренів, та з розв’язанням системи алгебраїчних рівнянь для знаходження сталих інтегрування з початкових даних. Ці труднощі збільшуються із збільшенням порядку диференціального рівняння. Крім того розв’язання диференціального рівняння значно ускладнюється, якщо початкові значення не нульові, а права частина рівняння містить похідні.

Тому класичний спосіб в автоматиці знаходить обмежене застосування, інколи використовується для рівнянь другого і третього порядку.

Розв’язання диференціальних рівнянь операційним методом зводиться до відшукання оригіналу функції за відомим її зображенням шляхом зворотного перетворення Лапласа. Так, якщо ми хочемо знайти перехідну функцію , то необхідно знати її зображення

.

Зображення легко знайти за допомогою передавальної функції замкнутої системи . Дійсно,

.

Якщо прийняти , то і, враховуючи, що зображення одиничної ступінчатої функції рівне , отримаємо

. (4.16)

Тоді

.

Для пошуку оригіналу можна скористатися таблицями зображень. Це, наприклад, вигідно робити при визначенні перехідних функцій типових ланок, так як в таблицях приведені прості вирази для зображень.

Зображення для автоматичних систем є завжди складною функцією аргументу р. В цьому випадку для знаходження оригіналу можна користуватися теоремою розкладу. Ця теорема – для випадку, коли зображення може бути показано у вигляді

, (4.17)

тобто має один нульовий корінь в знаменнику, і виражається формулою

, (4.18)

де – корені рівняння ; ; n – степінь полінома . Операційний метод розв’язання диференціальних рівнянь порівняно з класичним має ту перевагу, що в ній залишається тільки одна складна операція – знаходження коренів алгебраїчного рівняння . Друга операція, пов’язана зі знаходженням вільних сталих інтегрування, відпадає, оскільки початкові умови (нульові) враховуються автоматично при складанні передавальної функції системи. Тому операційний метод є більш зручним і його часто застосовують для вирішення практичних завдань автоматичного регулювання.

Для побудови кривої перехідного процесу можуть бути використані числові і графоаналітичні методи розв’язання диференціальних рівнянь.

Частотний метод побудови перехідного процесу

Побудова кривої перехідного процесу для відомих частотних характеристик системи має велике практичне значення, так як це не пов’язано з великими розрахунками, особливо при застосуванні логарифмічних частотних характеристик. Крім того, частотні характеристики можна зняти експериментально.

Частотний метод побудови перехідного процесу грунтується на кількісному зв’язку між тимчасовими і частотними характеристиками, що відображається перетворенням (інтегралом) Фур’є

, (4.19)

причому

, (4.20)

де – зображення Фур’є функції .

Як функцію часу будемо розглядати перехідну функцію . Тоді отримаємо

, (4.21)

де

Функція є амплітудно-фазовою характеристикою замкнутої системи.

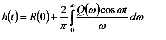
Таким чином, зв’язок між перехідною функцією і частотною характеристикою має вигляд

. (4.22)

Отриманою формулою при розрахунках користуватись незручно через наявність комплексних функцій під знаком інтегралу. Тому, враховуючи відомі співвідношення

,

,

формулу (4.22) можна привести до вигляду

, (4.23)

або

, (4.24)

де і – відповідно дійсно і уявна частотні характеристики замкнутої системи.

Таким чином, за формулами (4.23) або (4.24) можна розрахувати перехідну функцію і побудувати її графік, якщо відома частотна характеристика або . Але, оскільки функції і є складними дрібно-раціональними, то інтеграли в формулах (4.23) і (4.24) важко вираховуються. Ці важкості можна обминути, якщо отримати функції і у вигляді графіків, що, як було показано в шостій частині, можна зробити досить простими способами. Тому виникло завдання побудови перехідної функції за відомим графіком або . Це завдання було вирішено професором В.В.Солодовниковим, який запропонував наближений графоаналітичний метод побудови перехідного процесу.

Суть даного методу полягає в тому, що графік розбивають на типові трапеції. Потім для кожної трапеції на основі попередньо складених таблиць h–функцій, розрахованих за допомогою формули (4.23), будують графік перехідної функції. Шукану перехідну функцію знаходять шляхом алгебраїчного додавання ординат окремих складових.

Таблиці h–функцій складені для одиничної трапеції, яка характеризується коефіцієнтом нахилу (рис. 4.13). Така таблиця дозволяє для заданого значення побудувати графік перехідної відносного часу , де t – поточний час перехідного процесу. Якщо висота трапеції не дорівнює одиниці, то графік відповідно змінить свій масштаб по осі ординат.

Рисунок 4.13 – Типова одинична трапецеїдальна дійсна частотна характеристика

 

Побудова перехідної функції автоматичної системи за методом проф. В.В.Солодовникова зручно робити в такій послідовності:

1. Знаходять передавальну функцію розірваної системи (за відповідним диференціальному рівнянням або за структурною схемою системи).

2. За передавальною функцією будують логарифмічну амплітудну і фазову частотні характеристики.

3. За значеннями і за допомогою р-номо-грами визначають значення і будують графік речової частотної характеристики замкнутої системи (рис. 4.14, а).

Рисунок 4.14 – До побудови дійсної частотної характеристики на основі трапецеїдальної і вдповідні їм перехідні процеси

 

4. Графік розбивають на типові трапеції І, ІІ і ІІІ для кожної з яких визначають її параметри , і (рис. 4.14, б).

5. Для кожної з цих трапецій за допомогою таблиці h–функцій будують графік ; при цьому відносний час перераховують в реальний (рис. 4.14, в).

6. Шукану перехідну функцію знаходять шляхом алгебраїчного додавання ординат перехідних функцій, що відповідають кожній трапеції (рис. 4.14, в).

Точність методу повністю достатня для інженерних розрахунків і в значній степені залежить від точності апроксимації графіка Р(w) трапеціями.

Таблиця 4.1 – Типові ЛАЧХ розімкнутих систем

Тип ЛАЧХ Передавальна функція Нахили послідовних ділянок дБ/дек
І -20, -40, -20, -40
ІІ -20, -60, -20, -40
ІІІ -20, -40, -20, -60
ІV -20, -60, -20, -60

 


Поделиться с друзьями:

mylektsii.su - Мои Лекции - 2015-2026 год. (1.511 сек.)Все материалы представленные на сайте исключительно с целью ознакомления читателями и не преследуют коммерческих целей или нарушение авторских прав Пожаловаться на материал