Студопедия

Главная страница Случайная страница

КАТЕГОРИИ:

АвтомобилиАстрономияБиологияГеографияДом и садДругие языкиДругоеИнформатикаИсторияКультураЛитератураЛогикаМатематикаМедицинаМеталлургияМеханикаОбразованиеОхрана трудаПедагогикаПолитикаПравоПсихологияРелигияРиторикаСоциологияСпортСтроительствоТехнологияТуризмФизикаФилософияФинансыХимияЧерчениеЭкологияЭкономикаЭлектроника






Математична оцінка стійкості






 

Математично стійкість незбуреного руху оцінюють за характером збуреного руху як здатність системи приходити в результаті збуреного руху до незбуреного руху, якщо дія впливу припинилась. З цією причини збурення руху частіше розглядають як вільний рух системи, оскільки простіше розв’язати однорідне диференціальне рівняння з ненульовими початковими умовами, ніж неоднорідне диференціальне рівняння з ненульовими початковими умовами.

Якщо незбурений рух характеризується функціями , збурений – функціями , то збурений рух можна описати відхиленням величин від тих значень, які вони мають при незбуреному русі:

.

Початковими умовами при вільному русі, що записаний у відхиленнях, будуть значення величин . Вони виникли в результаті дії збурення, що потім припинилась. Тому функції описують процес вільного руху в системі.

Як трактувати визначення стійкості в цьому випадку? Незбурений рух буде стійким, якщо для всякого додатного числа e, яке б мале воно не було, можна підібрати інше число h, яке залежить від e, що для всіх незбурених рухів, для яких в початковий момент

, (4.1)

при всіх виконується нерівність

. (4.2)

З рівняння (4.2) випливає, що при оцінці стійкості відхилення не повинні перевищувати деякої достатньо малої величини e, а з рівняння (4.1) – що початкові умови при цьому відрізняються від нуля, але не перевищують деяке значення h, яке залежить від вибраного значення e.

Якщо виконується умова , то система називається безмежно стійкою, тобто вона буде стійкою при будь-яких початкових відхиленнях. Якщо система стійка при і нестійка при , то вона є стійкою в малому і нестійкою у великому (при ). Якщо виконується умова , то система називається асиметрично стійкою.

Розглянемо, як можна математично оцінити стійкість лінійної автоматичної системи.

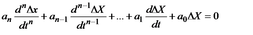
Вільний рух лінійної системи описують лінійним однорідним диференціальним рівнянням

 

 

(4.3)

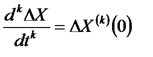
з початковими умовами , де – порядок похідної.

Розв’язок цього рівняння являє собою суму членів

, (4.4)

де – корені характеристичного рівняння

, (4.5)

– постійні інтегрування, що залежать від початкових умов .

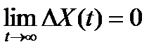
Щоби система була стійкою, рівняння (4.4) повинно задовольняти умову

. (4.6)

Корені характеристичного рівняння (4.5) в загальному випадку можуть бути суттєвими і комплексно спряженими. Нехай перших буде S, а других – n-S. Тоді розв’язок (4.4) можна представити у вигляді

. (4.7)

Розглянемо, як будуть змінюватись складові рівняння (4.7) при залежно від значення коренів. Якщо всі істотні корені від’ємні, то , так як кожна із складових при являє собою експоненту, що зменшується. Якщо істотні частини ak всіх комплексних коренів від’ємні, то , оскільки кожен із складників являє собою затухаюче коливання. Таким чином, якщо в характеристичному рівнянні всі істотні частини комплексних коренів та прості корені від’ємні, то і система буде стійкою. Якщо хоча б один з істотних коренів або істотна частина пари комплексних коренів буде додатним, то відповідні їм складові в загальному розв’язку (4.7) і з часом будуть нескінченно зростати, і система буде нестійкою.

Таким чином, необхідною і достатньою умовою стійкості лінійної системи автоматичного керування є від’ємність істотних частин всіх коренів її характеристичного рівняння. Якщо істотна частина хоча б одного кореня дорівнює нулю, а істотні частини інших коренів – від’ємні, то система знаходиться на межі стійкості. За наявності кратних коренів з нульовими істотними частинами система буде нестійкою.

Отже, ми встановили необхідну і достатню умову стійкості лінійних автоматичних систем. Але майже всі реальні системи є нелінійними і тільки приблизно деякі з них можна описати лінійними рівняннями. Чи можна за стійкістю лінеаризованої системи судити про стійкість вихідної нелінійної системи? Це питання було вирішене А.М.Ляпуновим, який сформулював свої знамениті теореми про стійкість лінеаризованих систем. Ці теореми звучать так:

1) Якщо лінеаризована система стійка, то стійка і вихідна нелінійна система

2) Якщо лінеаризована система нестійка, то нестійка і вихідна нелінійна система

3) Якщо лінеаризована система знаходиться на межі стійкості, то для визначення стійкості вихідної нелінійної системи необхідно провести додаткові дослідження за вихідними нелінійними рівняннями системи.

Таким чином, теореми Ляпунова дозволяють стверджувати про стійкість нелінійної системи за лінійним рівнянням. І тільки в окремих випадках, коли аналіз лінійного рівняння покаже, що лінеаризована система знаходиться на межі стійкості, потрібні додаткові дослідження. Дійсно, автоматичні системи, що використовуються на практиці, повинні бути не тільки стійкими, але й мати певний запас стійкості, тобто повинні знаходитися на деякій відстані від межі стійкості. В противному разі при незначній зміні параметрів система може стати нестійкою і непридатною для подальшої роботи. Тому вузька зона, перехід якої переводить лінеаризовану систему із стійкої в нестійку, включає в себе також межу стійкості вихідної нелінійної системи.

Ми показали, що необхідною і достатньою умовою стійкості лінеаризованих, а отже, і вихідних нелінійних автоматичних систем, є від’ємність істотних частин всіх коренів їх характеристичних рівнянь. Отже, для визначення стійкості системи прийдеться вирішувати її характеристичні рівняння, щоби визначити знаки коренів останнього. Аналітичний розв’язок алгебраїчних рівнянь 3-го і 4-го порядків потребує багато часу, а рівняння 5-го і більш високих порядків аналітично взагалі не вирішуються.

Тому виникає запитання, як визначити знаки істотних частин коренів характеристичного рівняння, а отже, і визначити стійкість системи, не вирішуючи характеристичне рівняння.

Цим питанням займалось багато вчених. В результаті досліджень були сформульовані умови стійкості у вигляді так званих критеріїв стійкості. Перш за все було встановлено, що необхідною умовою стійкості системи є додатність всіх коефіцієнтів її характеристичного рівняння, для систем третього і більш високих порядків – є лише необхідною, але недостатньою умовою стійкості систем.

Які ж умови є не тільки необхідними, але й достатніми для стійкості системи? Які вихідні дані необхідні для визначення, чи виконуються ці умови?

Умови стійкості формулюються у вигляді різних критеріїв стійкості, кожен з яких використовують залежно від того, якими вихідними характеристиками і даними володіють. Якщо відомі диференціальні рівняння системи, то частіше використовують алгебраїчні критерії стійкості.

 


Поделиться с друзьями:

mylektsii.su - Мои Лекции - 2015-2026 год. (1.037 сек.)Все материалы представленные на сайте исключительно с целью ознакомления читателями и не преследуют коммерческих целей или нарушение авторских прав Пожаловаться на материал