Студопедия

Главная страница Случайная страница

КАТЕГОРИИ:

АвтомобилиАстрономияБиологияГеографияДом и садДругие языкиДругоеИнформатикаИсторияКультураЛитератураЛогикаМатематикаМедицинаМеталлургияМеханикаОбразованиеОхрана трудаПедагогикаПолитикаПравоПсихологияРелигияРиторикаСоциологияСпортСтроительствоТехнологияТуризмФизикаФилософияФинансыХимияЧерчениеЭкологияЭкономикаЭлектроника






Інерційна ланка І-го порядку






 

Диференціальне рівняння ланки має вигляд

, (3.14)

де k – передавальний коефіцієнт, який характеризує властивості ланки в статичному режимі; Т – стала часу, яка характеризує інерційність ланки.

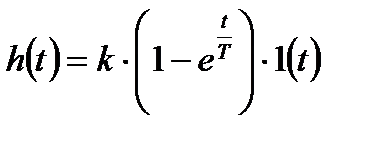
Перехідну функцію ланки можна знайти, як суму загального і часткового розв’язків рівняння. Використовуючи відому методику, одержимо наступний вираз для перехідної функції:

. (3.15)

Графік перехідної функції зображений на рис. 3.4, а. За допомогою методів аналітичної геометрії неважко переконатися в тому, що дотична до кривої в точці відсікає на горизонтальній прямій відрізок, рівний сталій часу Т. Перехідна функція при рівна , а при функція досягає значення . В приблизних розрахунках зазвичай вважають, що при перехідний процес практично закінчився.

Рисунок 3.4 – Характеристика інерційної ланки І-го порядку

Імпульсна перехідна функція ланки може бути одержана шляхом диференціювання функції . Для інерційної ланки першого порядку імпульсна функція має вигляд

. (3.16)

Застосовуючи до лівої і правої частин рівняння перетворення Лапласа, одержимо рівняння динаміки ланки в операційній формі

. (3.17)

З рівняння (3.17) знаходимо передавальну функцію ланки

. (3.18)

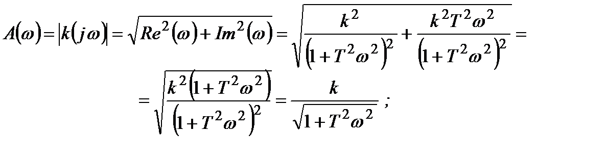
Підставляючи в передавальну функцію , одержимо амплітудно-фазову функцію

. (3.19)

Перемножуючи чисельник і знаменник функції на вираз , спряжений із знаменником, можна позбутися величини j в знаменнику і представити амплітудно-фозову функцію у вигляді суми дійсної і уявної частин

, (3.20)

де

(3.21)

Вираз (3.21) можна розглядати як рівняння амплітудно-фазові характеристики , задане в параметричній формі в системі координат і . Роль третьої змінної (параметра) відіграє частота w.

Якщо виразити уявну складову через дійсну , тоді можна переконатись, що амплітудно-фазова характеристика являє собою півколо з центром в точці і з діаметром, рівним k (рис. 3.4, б).

Розподілення точок, які відповідають різним значенням w, вздовж кривої залежить від величини сталої часу Т. На графіку показані характерні точки , і .

Вираз для амплітудної частотної характеристики можна одержати за формулами (5.120) або (5.123).

Для розглянутої ланки простіше використати формулу (5.123)

. (3.22)

Графік функції зображений на рис. 3.4, в. З графіка видно, що гармонічні сигнали малої частоти () пропускаються ланкою з відношенням амплітуд вихідної і вхідної величин, близьких до передавального коефіцієнта k. Сигнали великої частоти () погано пропускаються ланкою відношення амплітуд істотно менше від коефіцієнта k. Чим більша стала часу Т, тобто, чим більша інерційність ланки, тим менша характеристика , витягнута вздовж осі частот, або, як прийнято говорити в автоматиці, тим вужча смуга пропускання частот. В практичних розрахунках ширину смуги пропускання ланок і систем визначають за ординатою , рівний . Для інерційної ланки першого порядку

. (3.23)

Графік функції (3.23) показаний на рис. 3.4, г. Чим більша частота вхідного сигналу, тим більше відставання по фазі вихідної величини від вхідної. Максимально можливе відставання рівне 90°. При частоті зсув фаз рівний 45°.

Розглянута ланка є мінімально-фазовою. Фазовий зсув, який створює ця ланка, менший, ніж в будь-якій іншій ланці з такою ж амплітудною характеристикою. Наприклад, у нестійкій інерційній ланці першого порядку

(3.24)

амплітудна характеристика не відрізняється від характеристики (3.22), а фазова згідно з формулою (5.121) рівна

. (3.25)

При зміні частоти від 0 до +¥ фазовий зсув змінюється від -180° до -90°.

Розглянемо тепер логарифмічні частотні характеристики ланки. Логарифмічна амплітудна характеристика

. (3.26)

Крива, яка точно відповідає функції (3.26), показана на рис. 3.5 тонкою лінією. В практичних розрахунках використовують наближену характеристику , яка являє собою ламану у вигляді двох асимптот.

Перша асимптота (низькочастотна) одержується при малих частотах, коли величиною у виразі (3.26) можна знехтувати і прийняти, що

. (3.27)

Низькочастотна асимптота від частоти не залежить і являє собою пряму, паралельну до осі частот і віддалену від неї на відстань .

Друга асимптота (високочастотна) замінює точну характеристику при великих частотах, коли і одиницю під коренем у формулі (3.26) можна не враховувати. Вираз для цієї асимптоти

. (3.28)

Ця асимптота залежить від частоти. В логарифмічній системі координат вона являє собою пряму, яка має негативний

Рисунок 3.5 – Логарифмічні частотні характеристики інерційної ланки І-го порядку

 

нахил і проходить через точку з координатами , . Підставляючи у формулу (3.28) два значення частоти і , можна переконатись, що приріст високочастотної асимптоти, яка припадає на одну декаду, рівна – 20 дБ.

Значення спряженої частоти , при якій перетинаються обидві асимптоти, знайдемо з умови

, (3.29)

звідси

. (3.30)

Наближена амплітудна характеристика інерційної ланки першого порядку показана на рис. 3.5 жирною лінією. Можна довести, що найбільша помилка від наближеної заміни одержується при спряженій частоті. Ця помилка рівна 3 дБ.

Фазова частотна характеристика (рис. 3.5, тонка лінія) в системі координат також може бути замінена наближеною характеристикою, яка на інтервалі частот від до являє собою пряму, яка має нахил –45 град./дек. і проходить через точку . Максимальна помилка, яка при цьому допускається, не перевищує 6°.

Інерційними ланками першого порядку є конструктивні елементи, які можуть накопичувати енергію і які володіють так званими властивостями самовирівнювання. Найпростішим прикладом такого елемента служить електричний пасивний чотириполюсник (рис. 3.6, а), що складається з резистора опором r, Ом і конденсатора ємністю С, Ф. Вихідна величина чотириполюсника – напруга – після подачі на його вхід постійної напруги змінюється пропорційно величині заряду, що накопичується в ємності. В перші моменти заряд зростає швидко (рис. 3.4, а), а потім в міру наближення на обмотках конденсатора до вхідної напруги струм заряду зменшується, а швидкість зростання напруги поступово спадає до нуля.

Рисунок 3.6 – Приклади інерційних ланок І-го порядку

Параметри передавальної функції (3.18) в чотириполюснику, що розглядається, рівні: , , с.

Властивостями інерційної ланки першого порядку володіють також електричні елементи з індуктивностями L, Г, в яких вихідний сигнал пропорційний струму через індуктивність. Найпростішим прикладом такого роду є ланцюг, зображений на рис. 3.6, б. Передавальний коефіцієнт ланцюга , а стала часу , с.

Більш складним прикладом ланки такого порядку є магнітний підсилювач, який широко використовується в автоматичних системах. На рис. 3.6, в зображена схема найпростішого магнітного підсилювача, так званого дроселя насичення. Його використовують для регулювання струму в ланцюгу активного або пасивного навантаження. Якщо як вхідну величину підсилювача розглядати напругу постійного струму , що подається на обмотку керування, а як вихідну – діюче значення струму в ланцюгу активного навантаження, тоді підсилювач наближено описується передавальної функцією (3.18). Передавальний коефіцієнт підсилювача в такому випадку рівний

, (3.31)

а стала часу

, (3.32)

де – число витків відповідно обмотки керування і робочої обмотки; – опір відповідно обмотки керування, робочої обмотки і навантаження; f – частота напруги мережі.

Магнітні підсилювачі більш складних типів також можуть бути наближено описані передавальною функцією (3.18), але параметри k і Т необхідно визначити експериментально або вирахувати за формулами, які можна знайти в спеціальних довідниках для магнітних підсилювачів.

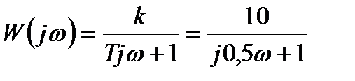
Приклад. Побудувати амплітудно-фазову характеристику стійкої аперіодичної ланки при значеннях: коефіцієнт підсилення і стала часу ланки .

Підставляючи ці значення в рівняння передавальної функції ланки, одержимо

.

Зробивши заміну , одержимо рівняння амплітудно-фазової характеристики

.

Позбавившись уявності в знаменнику, одержимо

.

Тут дійсна частина

і уявна частина

.

Для побудови амплітудно-фазової характеристики будемо змінювати частоту w від нуля до нескінченності

За одержаними значеннями будуємо апмлітудно-фазову характеристику (рис. 3.7) – півколо, яке проходить через початок координат, який опирається на дійсну вісь, як на діаметр, і розміщений в четвертому квадранті.

Напишемо це рівняння в полярних координатах

.

Рисунок 3.7 – Амплітудно-фазова характеристика стійкої аперіодичної ланки І-го порядку

 

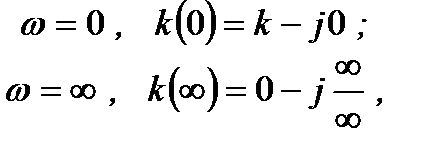
Для побудови графіка амплітудно-фазової характеристики будемо змінювати величину w від нуля до нескінченності. Знайдемо крайні точки графіка

тобто в цьому випадку ми одержали невизначеність, яку розкриємо, використовуючи правило Лопіталя

 

.

Отже,

.

Одержані точки лежать: одна на осі реальних, а інша – в початку координат і обмежують графік амплітудно-фазової характеристики, яка являє собою півколо з радіусом, рівним , розміщене в четвертому квадранті, що опирається на дійсну вісь, як на діаметр, і проходить через початок координат комплексної площини.

Для перевірки цього припущення досить визначити ординату цього півкола. Абсциса точки центра півкола

.

Звідки

.

Підставляючи значення w у вираз для ординати точки центра півкола, одержимо

,

тобто ордината точки центра півкола дійсно рівна його радіусу, що треба було довести.


Поделиться с друзьями:

mylektsii.su - Мои Лекции - 2015-2026 год. (0.895 сек.)Все материалы представленные на сайте исключительно с целью ознакомления читателями и не преследуют коммерческих целей или нарушение авторских прав Пожаловаться на материал