Студопедия

Главная страница Случайная страница

КАТЕГОРИИ:

АвтомобилиАстрономияБиологияГеографияДом и садДругие языкиДругоеИнформатикаИсторияКультураЛитератураЛогикаМатематикаМедицинаМеталлургияМеханикаОбразованиеОхрана трудаПедагогикаПолитикаПравоПсихологияРелигияРиторикаСоциологияСпортСтроительствоТехнологияТуризмФизикаФилософияФинансыХимияЧерчениеЭкологияЭкономикаЭлектроника






Текущая стоимость аннуитета.






Поскольку аннуитет представляет собой особый денежный поток, представленный одинаковыми сумами через одинаковые временные интервалы, то относительно инвестора он может быть как исходным (например, осуществление периодических одинаковых платежей), так и входным денежным потоком (например, регулярные поступления фиксированных сумм арендной платы).

Кроме того, в зависимости от момента осуществления первого аннуитетного платежа различают обычный и авансовый аннуитет.

Обычный аннуитет определяется как сумма равновеликих платежей, которые осуществляются в конце периода.

Авансовый аннуитет имеет место при условиях временного совпадения первого платежа с депонированием основной суммы взноса.

Графическая интерпретация текущей стоимости обычного аннуитета приведена на рис.3:

Рис. 3. Текущая стоимость обычного аннуитета.

 

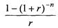
Формула для расчета обычного аннуитета имеет вид:

Множитель называют дисконтным множителем аннуитета, фактором текущей стоимости аннуитета или фактором Инвуда.

Графическая интерпретация текущей стоимости авансового аннуитета приведена на рис. 4:

Рис.4. Текущая стоимость авансового аннуитета.

 

Для того чтобы рассчитать текущую стоимость авансового аннуитета, необходимо исследовать движение денежного потока. Поскольку первый платеж совпадает по времени с депонированием основной суммы взноса, то его будущая стоимость равняется настоящей и не нуждается в дисконтировании для обеспечения сравнимости. Все следующие аннуттетные платежи дисконтируются в обычном порядке, тем не менее, период дисконтирования всегда будет на единицу меньше. Поэтому фактор текущей стоимости авансового аннуитета равен фактору текущей стоимости обычного аннуитета для предыдущего периода, увеличенному на единицу.

 

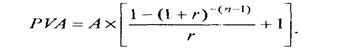
Формула для расчета авансового аннуитета имеет вид:

Изменения, которые происходят во внешней среде, а также развитие внутреннего потенциала предприятия совершают существенное влияние на величину периодического денежного потока доходов. Поэтому на практике довольно часто случаются ситуации, когда за определенный расчетный период величина периодических платежей изменяется, что требует применения определенных методических приемов расчета текущей стоимости таких аннуитетных платежей.


Поделиться с друзьями:

mylektsii.su - Мои Лекции - 2015-2026 год. (1.927 сек.)Все материалы представленные на сайте исключительно с целью ознакомления читателями и не преследуют коммерческих целей или нарушение авторских прав Пожаловаться на материал