Студопедия

Главная страница Случайная страница

КАТЕГОРИИ:

АвтомобилиАстрономияБиологияГеографияДом и садДругие языкиДругоеИнформатикаИсторияКультураЛитератураЛогикаМатематикаМедицинаМеталлургияМеханикаОбразованиеОхрана трудаПедагогикаПолитикаПравоПсихологияРелигияРиторикаСоциологияСпортСтроительствоТехнологияТуризмФизикаФилософияФинансыХимияЧерчениеЭкологияЭкономикаЭлектроника






Ход выполнения работы






Инструменты и приспособления.

ГРМ в сборе, наборы измерительных щупов, гаечных ключей, отверток, динамометрических рукояток, приспособлений.

Регулировка тепловых зазоров производится на холодном двигателе или не

ранее, чем через 30 мин после его остановки. При этом подача топлива должна быть выключена рычагом останова (для дизельного двигателя). Последователь-ность регулировки зазоров по цилиндрам в каждом из положений коленчатого вала определяется порядком работы двигателя (рисунок 4.2).

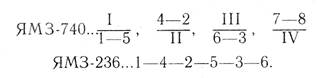
Рисунок 4.2 - Схема последовательности регулировки зазоров

Первое положение для обоих двигателей определяется относительно начала впрыска топлива в первом цилиндре, остальные — поворотом коленчатого вала на углы 180, 360 и 540° для двигателя ЯМЗ-740, а на двигателе ЯМЗ-236 через каждые 120°.

 

 

 

 

а, б, в — ЯМЗ 236, г — ЯМЗ 740

 

Рисунок 4.3 - Проверка зазоров в клапанах и креплениях головки цилиндров двигателей

 

В двигателе ЯМЗ-740 (рисунок 4.3) зазоры регулируются одновременно в двух цилиндрах, следующих по порядку работы друг за другом во время тактов сжатия. При этом клапаны этих цилиндров должны быть закрыты. Начало подачи топлива в первом цилиндре определяется установкой фиксатора в паз маховика. При этом риски на торце корпуса муфты опережения впрыска топлива и на фланце ведомой полумуфты привода топливного насоса высокого

давления должны находиться в верхнем положении (рисунок 4.4).

В двигателе ЯМЗ-236 зазоры регулируются одновременно на двух клапанах одного цилиндра согласно порядку работы двигателей, начиная с первого. После первоначальной установки поршня в в. м. т. такта сжатия коленчатый вал необходимо провернуть еще на 1/4—1/3 оборота. Клапаны данного цилиндра должны быть закрытыми.

 

 

Рисунок 4.4 - Схема: а — положения меток, соответствующих началу подачи топлива в первом цилиндре, б — нумерация цилиндров двигателя ЯМЗ -740

 

Перед регулировкой тепловых зазоров в клапанах двигателя необходимо подтянуть болты крепления головок цилиндров, для чего надо снять их крышки. Затяжка производится на холодном двигателе не менее чем за три приема динамометрической рукояткой и набором накидных ключей в порядке возрастания номеров (рисунок 4.3) с определенным моментом сил: 1-й прием — 40-50 Н∙ м; 2-й прием — 120 -150 Н∙ м; 3-й прием — предельные значения (таблица 1.3).

Также необходимо проверить момент затяжки гаек крепления стоек коромысел. Он должен быть 40-50 Н∙ м.

Для регулировки зазора клапанов необходимо ослабить гайку регулировочного винта, вставить в зазор между клапаном и коромыслом щуп требуемой толщины и, вращая винт отверткой, установить необходимый зазор (таблица 4.1). Придерживая винт отверткой, затянуть гайку и проверить зазор. Момент затяжки гайки регулировочного винта 40-50 Н∙ м.

В двигателе ЗМЗ-4022.10 автомобиля " Волга" ГАЗ-3102 регулировка тепловых зазоров (рисунок 4.5) производится в последовательности:

отсоединить привод дроссельных заслонок и шланги вентиляции картера, снять воздушный фильтр и крышку коромысел;

повернуть коленчатый вал до совпадения третьего паза на ободе шкива с меткой на крышке распределительных шестерен. Клапаны первого цилиндра должны быть закрытыми, а коромысла этих клапанов свободно покачиваться, что соответствует верхней мертвой точке поршня в конце такта сжатия.

Моменты затяжки гаек крепления головки цилиндров проверить динамометрической рукояткой в два приема: предварительно с усилием 40-50 Н∙ м и окончательно с усилием 85—90 Н∙ м в порядке возрастания номеров

(рисунок 4.5, а).

 

Рисунок 4.5 - Регулировка зазоров в клапанах и проверка крепления головки цилиндров

двигателя ЗМЗ-4022.10

 

 

Проверить зазоры (таблица 4.1) между коромыслами и основными клапанами. При необходимости отрегулировать их регулировочными винтами 5, предварительно ослабив контргайку 6, затем прижать коромысло 2 к основному клапану 1 так, чтобы выбрать зазор между ними, но не приоткрывая основной клапан, и винтом 3 отрегулировать зазор между дополнительным клапаном 7 и регулировочным винтом 3, предварительно ослабив контргайку 4. После регулировки и затяжки контргаек необходимо вновь проверить тепловые зазоры и, поворачивая коленчатый вал на 180°, произвести регулировку клапанов в цилиндрах согласно порядку работы двигателя 1—2—4—3.

Для проверки качества работ необходимо установить на место снятые детали и приборы, запустить и прогреть двигатель, прослушать его работу. При правильно отрегулированных зазорах стуков в клапанном механизме не должно быть.

По окончании работы составляют отчет, заполняют накопительную карту измерений и карту эскизов и делают техническое заключение.

 

 

Контрольные вопросы

1. Изложить цель и содержание работы.

2. Объяснить назначение теплового зазора в ГРМ.

3. С какой целью выполняются контроль и регулирование теплового зазора

клапанов?

4. Какие инструменты и приспособления применяется для регулировки тепловых зазоров клапанов газораспределительного механизма и затяжки болтов головки цилиндров двигателя?

5. Каковы возможные причины изменения фаз газораспределения?

6. Описать ход выполнения регулировки клапанов на примере одного из двигателей.

7. Перечислить контролируемые параметры и указать критерии их оценки.

 

В ответах на вопросы при необходимости использовать эскизы и схемы

 


Поделиться с друзьями:

mylektsii.su - Мои Лекции - 2015-2026 год. (2.172 сек.)Все материалы представленные на сайте исключительно с целью ознакомления читателями и не преследуют коммерческих целей или нарушение авторских прав Пожаловаться на материал