Студопедия

Главная страница Случайная страница

КАТЕГОРИИ:

АвтомобилиАстрономияБиологияГеографияДом и садДругие языкиДругоеИнформатикаИсторияКультураЛитератураЛогикаМатематикаМедицинаМеталлургияМеханикаОбразованиеОхрана трудаПедагогикаПолитикаПравоПсихологияРелигияРиторикаСоциологияСпортСтроительствоТехнологияТуризмФизикаФилософияФинансыХимияЧерчениеЭкологияЭкономикаЭлектроника






Анализ безубыточности деятельности. Денежная точка равновесия, вклад на покрытие, запас финансовой прочности, операционный рычаг.






Управленческое решение основано на установлении математической зависимости между себестоимостью, объёмом производства и прибылью.

Общие затраты на производство () состоят из двух частей: постоянной () и переменной (). или ,

где – постоянные затраты в расчете на единицу изделия;

– переменные затраты на единицу изделия;

- объем производства продукции, единиц.

Выручка от реализации продукции в рублях () определяется по формуле: ,

где p - цена единицы продукции.

Выручка связана с затратами на производство продукции () и прибылью от реализации () следующим соотношением: .

Если предприятие работает прибыльно, то , если убыточно, то . В точке безубыточности нет ни прибыли, ни убытков – .

Точка безубыточности или точка критического объёма производства – это объем продаж (), при котором выручка равна расходам, а прибыль равна нулю, или объём производства при достижении которого общая сумма маржинального дохода возмещает общую сумму постоянных затрат.

Определение точки безубыточности производится графическим или алгебраическим методом.

1. Графический метод заключается в построении графика изменения выручки и общей суммы затрат в зависимости от изменения объема производства и реализации продукции (в шт.) и определении точки их пересечения, в которой выручка будет равна сумме затрат.

Определения точки критического объёма производства продукции графическим методом.

 

Z, S Зона убытков Зона прибыли

S=p*Q

 
 


Z=ZC+ZV

ZV

S*

ZC

 

 
 


Q*ден Q* Q

2. Алгебраический (расчетный) метод.

Выручка в точке безубыточности равна затратам, а прибыль равна 0:

; ; ,

Путем математических преобразований определяем:

1. Объём продаж в точке безубыточности: , где d – единичный маржинальный доход d=p-CV.

2. Выручку в точке безубыточности: S*=p Q*.

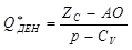
3. Денежную точку безубыточности. Не все постоянные эксплуатационные затраты влекут за собой денежные платежи (например, амортизационные отчисления). Поэтому, если из суммы постоянных затрат вычесть неденежные затраты, то определим денежную точку равновесия.

Денежная точка равновесия – это объём продаж, обеспечивающий безубыточность денежного потока. Она находится ниже объёма продаж в точке равновесия, и определяется следующим образом:

, где АО – амортизационные отчисления.

 

4. Уравнение для определения критического уровня постоянных затрат:

5. Критическая цена реализации продукции: .

6. Плановый объём производства для получения заданной плановой суммы прибыли: .

Используя формулы:

Md=ZC+R;

Q*d=ZC+R;

S=Z+R=ZC+ZV+R;

S-Z=ZC+R,

можно вывести формулы, позволяющие выполнить расчёты и ответить на следующие вопросы:

1). Какой будет прибыль при увеличении объёма продажна заданный процент?

Md=ZC+R;

R=Md-ZC;

R0=Q*d-ZC;

R1=Q0*(1+m*Q)*d-ZС;

2). Какой будет прибыль при возможном увеличении постоянных затрат на заданный процент?

Md=ZC+R;

R=Md-ZC;

R1=Md-ZC0*(1+m*ZС).

3). Сколько единиц продукции нужно продать, чтобы получить заданную прибыль?

Md=ZC+R;

.

4). Какой должна быть цена, чтобы продав заданное количество изделий, получить заданную прибыль?

S=ZC+ZV+R

p*Q=ZC+CV*Q+R

.

5). Сколько единиц продукции нужно продать, чтобы достичь уровня безубыточности?

Md=ZC+R;

Q*d=ZC;

.

Для дальнейшего использования введем еще несколько показателей.

1. Коэффициент вклада на покрытие – показывает какую долю в объёме продаж составляют постоянные издержки и прибыль: .

2. Запас финансовой прочности – показывает, в процентах, дополнительный, сверх уровня безубыточности, объём продаж, т.е., на сколько процентов может снизиться выручка, прежде будет достигнут уровень безубыточности: .

Стратегия предприятия при достаточном ЗФП – инвестирование средств в производство, кадры, освоение новых рынков, видов продукции, ценных бумаг.

Стратегия предприятия при недостаточном ЗФП – жёсткий контроль за затратами и оптимизация всей деятельности.

3. Операционный рычаг – показывает: на сколько процентов изменится прибыль при изменении выручки на 1%. Характеризует уровень предпринимательского риска: . При высоком уровне операционного рычага – следует увеличить объёмы продаж и строго их контролировать, т.к. прибыль может резко увеличиться или сократиться при изменении выручки. Значение показателя определяется отраслевой принадлежностью. Высокий уровень показателя соответствует фондоёмким отраслям (транспорт, машиностроение, судостроение).

Анализ влияния структуры затрат на финансовые показатели деятельности в системе «Директ-костинг»

Перераспределение затрат внутри неизменной общей суммы издержек отражается на финансовых показателях деятельности предприятия. С целью воздействия на финансовые показатели можно изменить структуру издержек.

Например, часть переменных издержек (10%) перенесём в разряд постоянных. Оценим как это отражается на финансовых показателях:

Показатели Условное обозначение Базовый вариант Изменение Новый вариант изменение показателей
1. Выручка, тыс. руб S 3 000   3 000  
2. Затраты всего, тыс. руб в т.ч.: переменные постоянные Z ZV ZC 2 796 1 920   -192 +192 2 796 1 728 1 068   -10% +21, 9%
3. Маржинальный доход, тыс.руб Md 1 080   1 272 +17%
4. Прибыль, тыс.руб R        
5. Объём продаж в точке безубыточности, штук (СV=160 руб, p=250 руб) Q* 9 733, 3   11866, 6 +21, 9%
6. Выручка в точке безубыточности, тыс.руб S* 2 433   2 518 +3, 5%
7. Уровень операционного рычага OR 5, 29%   6, 24% +17, 8%
8. Запас финансовой прочности ЗФП 18, 9 %   16 % -15, 3%

Вывод: Уменьшение переменных затрат на 10% привело к росту точки безубыточности на 3, 5%, к росту уровня операционного рычага на 17, 8% (к росту уровня риска) и к уменьшению запаса финансовой прочности на 15, 3%.

 




Поделиться с друзьями:

mylektsii.su - Мои Лекции - 2015-2026 год. (2.473 сек.)Все материалы представленные на сайте исключительно с целью ознакомления читателями и не преследуют коммерческих целей или нарушение авторских прав Пожаловаться на материал