Студопедия

Главная страница Случайная страница

КАТЕГОРИИ:

АвтомобилиАстрономияБиологияГеографияДом и садДругие языкиДругоеИнформатикаИсторияКультураЛитератураЛогикаМатематикаМедицинаМеталлургияМеханикаОбразованиеОхрана трудаПедагогикаПолитикаПравоПсихологияРелигияРиторикаСоциологияСпортСтроительствоТехнологияТуризмФизикаФилософияФинансыХимияЧерчениеЭкологияЭкономикаЭлектроника






Реттеу заҢдылыҒы жӘне реттеуіштер. ПропорционалдыҚ (п), интегралдыҚ (и), дифференциалдыҚ (д) реттеуіштер.






Реттеуіштердің негізгі міндеті-реттелетін шаманың нақ ты мә ндері мен жоспарланғ ан мә ндердің арасындағ ы ауытқ уғ а пропорционал, реттеуші ық палды тудыру болып табылады.

Сурет 4.1 Реттеуіш схемасы

 

Реттеу заң дары бойынша реттеуіштер пропорционалдық (П-реттеуіш), интегралдық (И-реттеуіш), пропорционалдық – интегралдық (ПИ-реттеуіш), пропорционалдық - дифференциалдық (ПД-реттеуіш) жә не пропорционалдық – интегралдық - дифференциалдық (ПИД-реттеуіш) болып бө лінеді.

П-реттеуші (статикалық реттеуіш) - бұ л реттеуіштерде реттеу ық палдары мен қ ателік сигналдары арасында пропорционалдық тә уелділік болады.

Реттеу заң дылығ ы:

; мұ ндағ ы

–реттеуіштің беріліс коэффициенті.

Реттеуіштің беріліс функциясы:

Пропорционалдық реттеуіштерді статикалық деп те атайды, ө йткені олар ә рдайым статикалық қ атемен жұ мыс істейді. Тура ә рекетті реттеуіштерде пропорционалдық заң ын жү зеге асыру ү шін кә дімгі кү шейткіш қ ұ рылғ ылар, ал жанама ә рекетті реттеуіштерде - қ атаң кері байланыс қ ұ рылғ ылары (кү шейткіш буын) пайдаланылады. Сондық тан жанама ә рекетті П-реттеуіштерді қ атаң кері байланысты реттеуіштер деп те атайды.

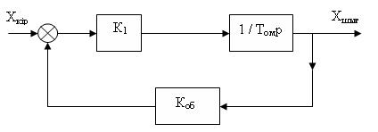
Суретте нақ ты П-реттеуіштің қ ұ рылымдық схемасы кө рсетілген

Сурет 4.2 П-реттеуіштің қ ұ рылымдық схемасы

 

П-реттеуіштің ө тпелі сипаттамасы (4.2 сурет)

Сурет 4.2

 

Кемшілігі: реттеуіштер ә рдайым статикалық қ атемен жұ мыс істейді.


Поделиться с друзьями:

mylektsii.su - Мои Лекции - 2015-2026 год. (1.746 сек.)Все материалы представленные на сайте исключительно с целью ознакомления читателями и не преследуют коммерческих целей или нарушение авторских прав Пожаловаться на материал