Студопедия

Главная страница Случайная страница

КАТЕГОРИИ:

АвтомобилиАстрономияБиологияГеографияДом и садДругие языкиДругоеИнформатикаИсторияКультураЛитератураЛогикаМатематикаМедицинаМеталлургияМеханикаОбразованиеОхрана трудаПедагогикаПолитикаПравоПсихологияРелигияРиторикаСоциологияСпортСтроительствоТехнологияТуризмФизикаФилософияФинансыХимияЧерчениеЭкологияЭкономикаЭлектроника






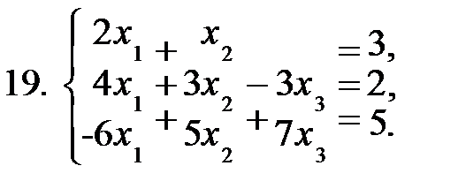
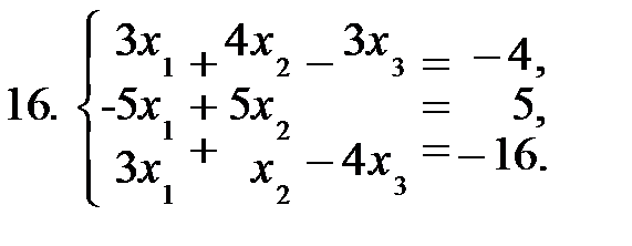
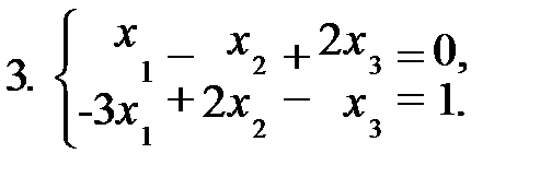
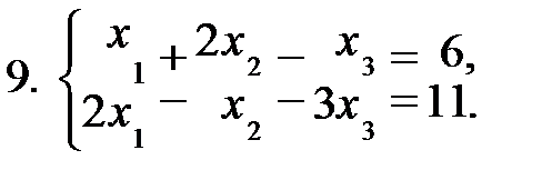
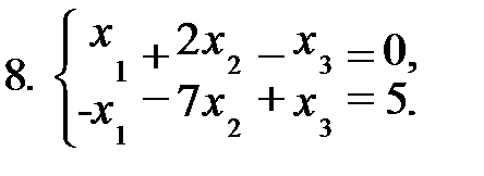
Контрольные задания. Задание 1. Решить систему уравнений а) методом жордана-гаусса; б) методом модифицированных жордановых исключений






Задание 1. Решить систему уравнений а) методом Жордана-Гаусса; б) методом модифицированных жордановых исключений. Найти все базисные решения системы.

 

Задание 2. Решить систему уравнений а) по формулам Крамера; б) матричным способом.

 

Задание 3. Выяснить является ли система векторов линейно зависимой или линейно независимой, в случае линейной зависимости привести пример нетривиальной линейной комбинации, равной нулевому вектору (представить один из векторов в виде линейной комбинации остальных).

21. а1 = (1; 2; 3; 4), а2 = (4; 3; 2; 1), а3 = (5; 5; 5; 5).

22. а1 = (1; 1; 1; 1), а2 = (1; 2; 3; 4), а3 = (1; 3; 3; 1).

23. а1 = (1; 3; 3; 6), а2 = (2; 3; 0; 3), а3 = (1; 2; 1; 3).

24. а1 = (1; 1; 1; 1), а2 = (1; -1; 1; -1), а3 = (2; 3; 1; 4).

25. а1 = (0; 2; 4; 6), а2 = (-1; 0; 1; 1), а3 = (2; 4; -1; 3).

26. а1 = (4; 3; 2; 1), а2 = (1; 2; 3; 4), а3 = (5; 6; 5; 0).

27. а1 = (1; 3; 2; -4), а2 = (1; 2; 0; 4), а3 = (2; 4; 0; 8).

28. а1 = (4; 3; 2; 1), а2 = (2; 3; 4; 5), а3 = (6; 6; 6; 6).

29. а1 = (1; 2; 0; 3), а2 = (2; 1; 3; 4), а3 = (1; 0; 3; -2).

30. а1 = (0; 1; 1; 2), а2 = (1; 2; 3; 1), а3 = (1; 2; 3; -4).

Задание 4. Показать, что векторы а1, а2, а3 образуют базис в R 3 базис и разложить вектор а4 по этому базису.

31. а1 = (2; 1; 3), а2 = (-4; -2; -1), а3= (3; 4; 5), а4 = (1; 3; 2).

32. а1 = (2; 1; 4), а2 = (-3; 5; 1), а3= (1; -4; -3), а4 = (2; -5; -4).

33. а1 = (2; 3; 1), а2 = (-1; 2; -2), а3= (1; 2; 1), а4 = (2; -2; 1).

34. а1 = (1; 2; 1), а2 = (2; -1; 3), а3= (3; -1; 4), а4 = (5; 1; 6).

35. а1 = (2; 2; -1), а2 = (0; 4; 8), а3= (-1; -1; 3), а4 = (1; 1; 2).

36. а1 = (1; -2; 1), а2 = (1; 1; 1), а3= (-1; 1; 1), а4 = (2; 3; 6).

37. а1 = (3; -2; 2), а2 = (-1; 1; -1), а3= (0; 1; 4), а4 = (5; 0; 15).

38. а1 = (5; 1; 4), а2 = (0; -1; 1), а3= (4; 2; 2), а4 = (1; 0; 1).

39. а1 = (2; 3; 1), а2 = (2; 2; 1), а3= (-1; -3; -2), а4 = (4; 7; 3).

40. а1 = (2; -1; 4), а2 = (1; -2; 2), а3= (-1; 2; 1), а4 = (-4; 14; 7).

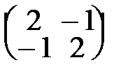
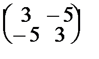
Задание 5. Дана матрица А линейного оператора в . 1). Построить матричный оператор, заданный матрицей А. 2). Найти собственные значения и собственные векторы линейного оператора (матрицы). 3). Привести квадратичную форму, заданную матрицей А в , к каноническому виду, а также найти ортонормированный базис, в котором она имеет этот вид. 4). Построить линии уровня квадратичной формы.

 

41. А= . 46. А= .
42. А= . 47. А= .
43. А= . 48. А= .
44. А= . 49. А= .
45. А= . 50. А= .

Задание 6. Дан треугольник с вершинами A(x 1, y 1), B(x 2, y 2), C(x 3, y 3). Найти:

(а) уравнение стороны АС;

(б) уравнение высоты АК;

(в) длину средней линии MP/BC;

(г) угол ^ ;

(д) точку пересечения высот треугольника.

 

51. А (-4, 0), B (-2, 6), C (2, 2).

52. A (-3, 0), B (-1, 6), C (3, 2).

53. A (-2, 0), B (0, 6), C (4, 2).

54. A (-1, 0), B (1, 6), C (5, 2).

55. A (0, 0), B (2, 6), C (6, 2).

56. A (1, 0), B (3, 6), C (7, 2).

57. A (2, 0), B (4, 6), C (8, 2).

58. A (3, 0), B (5, 6), C (9, 2).

59. A (4, 0), B (6, 6), C (10, 2).

60. A (-5, 0), B (-1, 6), C (1, 2).

 

Задание 7. Найти:

а) уравнение прямой , проходящей через точки А(x 1, y 1, z 1); B(x 2, y 2, z 2).

б) уравнение плоскости , проходящей через точки 0(0, 0, 0), С(0, y 3, 1) параллельно прямой .

в) пересечение прямой с плоскостью H: с x +a y + z +1=0.

 

61. A(1, 2, 3), B(3, 4, 4), C(0, -3, 1), H: 3 x + y +2 z +1=0.

62. A(1, 1, 2), B(3, 2, 3), C(0, -4, 1), H: 2 x + y + z +1=0.

63. A(1, 1, 1), B(3, 3, 2), C(0, -4, 1), H: x + y + z +1=0.

64. A(1, 1, 3), B(3, 2, 4), C(0, -4, 1), H: 3 x + y + z +1=0.

65. A(2, 1, 1), B(5, 2, 2), C(0, -4, 1), H: x +2 y + z +1=0.

66. A(2, 2, 1), B(5, 4, 2), C(0, -3, 1), H: x +2 y +2 z +1=0.

67. A(3, 2, 1), B(7, 4, 2), C(0, -3, 1), H: x +3 y +2 z +1=0.

68. A(3, 2, 2), B(7, 4, 2), C(0, -3, 1), H: 2 x +3 y +2 z +1=0.

69. A(4, 1, 1), B(9, 2, 2), C(0, -4, 1), H: x +4 y + z +1=0.

70. A(4, 2, 1), B(9, 4, 2), C(0, -3, 1), H: x +4 y +2 z +1=0.

 

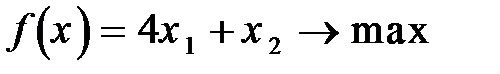
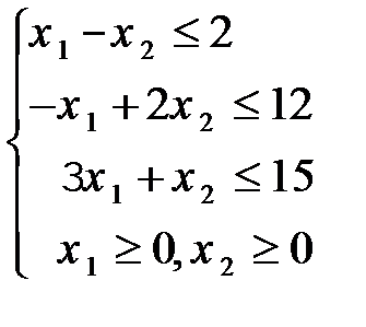
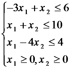
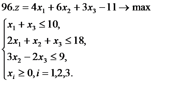
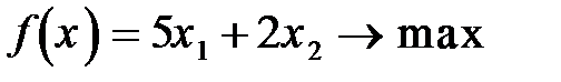
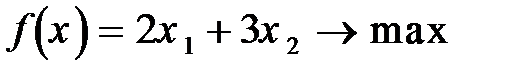
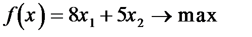
Задание 8. Решить графическим методом задачу линейной оптимизации

 

81. 82.

83. 84.

85. 86.

87. 88.

89. 90.

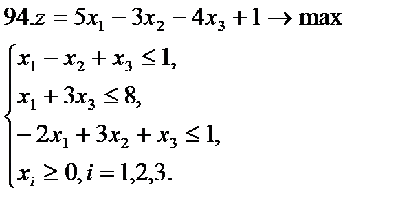
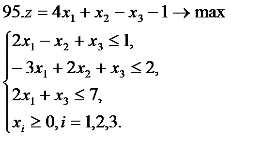
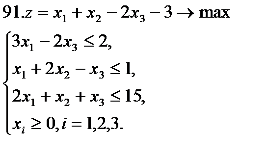
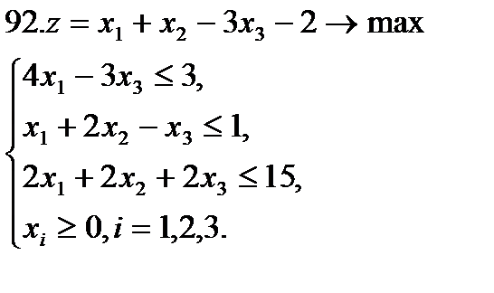
Задание 9. Решить симплексным методом задачу линейной оптимизации:

.

Задание 10. Решить транспортную задачу (в верхней строке таблицы указаны потребности bj в грузе пунктов назначения, в левом столбце – запасы ai груза в пунктах отправления, в остальных клетках – тарифы cij):

ai/bj        
         
         
         

101. 102.

ai/bj        
         
         
         


103. 104.

ai/bj        
         
         
         

 

ai/bj        
         
         
         

 


105. 106.

ai/bj        
         
         
         

 

ai/bj        
         
         
         


ai/bj        
         
         
         

 

ai/bj        
         
         
         

107. 108.


109. 110.

ai/bj        
         
         
         

 

ai/bj        
         
         
         




Поделиться с друзьями:

mylektsii.su - Мои Лекции - 2015-2026 год. (1.605 сек.)Все материалы представленные на сайте исключительно с целью ознакомления читателями и не преследуют коммерческих целей или нарушение авторских прав Пожаловаться на материал